| Criminal Illegal Alien Recklessly Driving an 18-Wheeler Kills Three in Florida | | 08/18/2025 | | | | | | Criminal Illegal Alien Recklessly Driving an 18-Wheeler Kills Three in Florida Gavin Newsom's California Department of Motor Vehicles issued an illegal alien a Commercial Driver's License WASHINGTON—The Department of Homeland Security (DHS) and the U.S. Immigration and Customs Enforcement (ICE) lodged an arrest detainer for criminal illegal alien Harjinder Singh following his arrest for three counts of vehicular homicide. According to the Florida Department of Highway Safety and Motor Vehicles, on August 12, 2025, Harjinder Singh attempted to make an illegal U-turn through an "Official Use Only" access point in St. Lucie County. By blocking all lanes of the highway with his truck, Singh caused a brutal wreck, instantly killing three innocent people and leaving Florida families shattered. Video obtained from Breaking911 from inside the tractor trailer shows the exact moment Singh decided to break U.S. highway laws as he turned his truck into traffic- his face shows no shock or remorse for his actions or the lives he destroyed. "Three innocent people were killed in Florida because Gavin Newsom's California Department of Motor Vehicles issued an illegal alien a Commercial Driver's License—this state of governance is asinine," said Assistant Secretary Tricia McLaughlin. "How many more innocent people must die before Gavin Newsom stops playing games with the safety of the American public? We pray for the victims and their families. Secretary Noem and DHS are working around the clock to protect the public and get these criminal illegal aliens out of America." Singh obtained a Commercial Driver's License (CDL) in California, despite having no legal right to be in the United States. Governor Newsom put Americans' lives directly at risk by arming this illegal alien with the ability to operate a 40-ton killing machine on U.S. highways. This reckless policy gave Singh the keys and three innocent people paid with their lives. ICE issued an immigration detainer on August 16, 2025, after Singh was arrested, to ensure he remains in custody after his state prosecution, preventing him from slipping back onto America's streets. This detainer ensures he will be transferred to ICE custody the moment his criminal case concludes. DHS law enforcement is protecting American communities every day from another senseless tragedy like this taking place in another town, to another family. Victims of illegal alien crime may receive support from the Victims of Immigration Crime Engagement (VOICE) Office by contacting 1-855-488-6423. | | | | | | ICYMI: ICE Rescues 27 Victims Including 10 Children from Human Trafficking Ring | | 08/18/2025 | | U.S. DEPARTMENT OF HOMELAND SECURITY
Office of Public Affairs
| | ICYMI: ICE Rescues 27 Victims Including 10 Children from Human Trafficking Ring | | Five illegal aliens charged with conspiracy to engage in labor trafficking and sex trafficking at several hotel locations in Nebraska WASHINGTON—Today, the Department of Homeland Security (DHS) announced U.S. Immigration and Customs Enforcement (ICE) dismantled a violent, criminal illegal alien-run massive human trafficking ring in Nebraska. This illegal alien run trafficking operation was operating out of motels and eyebrow salons across the Omaha metro area. On August 12, ICE rescued 27 victims, including 10 children under the age of 12, from horrific conditions and exploitation. Victims were crammed into cockroach infested rooms and trapped in squalor with no basic sanitation or safety. Children and adults were being sex trafficked, and the motel was also being used for drug trafficking operations.  “Our brave ICE law enforcement rescued these children and women who were being sexually exploited and trafficked,” said Assistant Secretary Tricia McLaughlin. “President Trump and Secretary Noem will not allow children and women to be victims of these heinous human trafficking rings. Our message to human traffickers is clear: we will dismantle your networks, and you will be prosecuted to the fullest extent of the law. That’s a promise.”  Five illegal aliens were charged for a range of federal violations that center around their alleged conspiracy to engage in labor trafficking, sex trafficking, and harboring of illegal aliens at several motel locations across the Omaha metro area and into central Nebraska. ICE has placed immigration detainers on all five Indian illegal aliens arrested to ensure they are not released back into the community after completion of their federal criminal charges. Those arrested include: - Kentakumar Chaudhari, a/k/a Ken Chaudhari
- Rashmi Ajit Samani, a/k/a Falguni Samani
- Amit Prahladbhai Chaudhari, a/k/a Amit
- Amit Babubhai Chaudhari, a/k/a Matt
- Maheshkumar Chaudhari, a/k/a Mahesh
Additionally, during this operation, ICE took 14 other illegal aliens into custody who were living alongside the trafficking victims. Among those detained were: - Guillermo Infante Arevalo, a criminal illegal alien from Mexico with a documented history of child endangerment, drug and firearm possession, and illegal reentry.
- Eudis Enrique Cuellar-Martinez, a criminal illegal alien from Venezuela with pending felony drug possession charges.
- Pablo Martinez Canas, a criminal illegal alien from El Salvador with multiple prior removals from the U.S. and a criminal trespass charge.
All detained will remain in custody pending judicial proceedings and removal. ICE and federal partners also seized over $565,000 in cash and illicit drugs and filed notices to prevent the sale of implicated motel properties.  DHS encourages Americans – of any age – with a commitment to public safety, national service, and upholding the rule of law to apply to join ICE today and help DHS remove the worst of the worst from our communities: join.ice.gov. | | # # # | | | | | Over the Weekend ICE Arrests More Worst of the Worst Including a Criminal Illegal Alien from Cuba with 23 Criminal Convictions | | 08/18/2025 | | U.S. DEPARTMENT OF HOMELAND SECURITY
Office of Public Affairs
| | Over the Weekend ICE Arrests More Worst of the Worst Including a Criminal Illegal Alien from Cuba with 23 Criminal Convictions | | Additional ICE arrests this weekend included criminal illegal aliens with convictions for child sex crimes, trafficking cocaine, and soliciting prostitution WASHINGTON – While Americans were enjoying their weekends, U.S. Immigration and Customs Enforcment (ICE) arrested more worst of the worst criminal illegal aliens. One of the criminal illegal aliens arrested was 41-year-old Roslandy Garcia-Cruz. This serial criminal from Cuba had 23 criminal convictions across four different states.  His criminal history includes 23 convictions for knowingly and with intent to defraud, possess 15 or more counterfeit or unauthorized access devices, possession of criminal tools, counterfeiting, and a probation violation. “The Biden administration allowed serial criminals to prey on Americans. The days of criminal illegal aliens terrorizing American citizens are OVER,” said Assistant Secretary Tricia McLaughlin. “While Americans were enjoying their weekends, ICE was hard at work arresting pedophiles, fraudsters, drug traffickers, and other violent criminals to make America safe again.” In addition to Garcia-Cruz, ICE also arrested more of the worst of the worst across our nation this weekend:  Ibrahim Albawaneh, a 31-year-old criminal illegal alien from Jordan. His criminal history includes convictions for possession of a controlled substance and aggravated assault in Vermillion County, Illinois.  Omar Balbino-Navarro, a 30-year-old criminal illegal alien from Mexico. His criminal history includes a conviction for carry concealed dirk or dagger in Ventura, California.  Oscar Pille-Aguilera, a 31-year-old criminal illegal alien from Mexico. His criminal history includes a conviction for exploitation of child/elderly/disabled in Collin County, Texas.  Magdeleno Barbosa-Montalvo, a 53-year-old criminal illegal alien from Mexico. His criminal history includes a conviction for sexual misconduct with a minor in Vincennes, Indiana.  Adalberto Turcios-Mejia a 66-year-old criminal illegal alien from Honduras. His criminal history includes a conviction for indecency with a child by contact in Austin, Texas.  Arinxon Quintero-Valera, a 25-year-old criminal illegal alien from Venezuela. His criminal history includes a conviction for procurement of prostitution in San Antonio, Texas.  Daniel Hernandez-Sanchez, a 32-year-old criminal illegal alien from Mexico. His criminal history includes a conviction for robbery in Mendocino, California.  Cindy Rivas-Cruz, a 32-year-old criminal illegal alien from Guatemala. Her criminal history includes a conviction for larceny in Draper, Utah.  Ramon Lopez-Ruiz, a 48-year-old criminal illegal alien from Mexico. His criminal history includes a conviction for trafficking in cocaine in Durham County, North Carolina. DHS encourages Americans – of any age – with a commitment to public safety, national service, and upholding the rule of law to apply to join ICE today and help DHS remove the worst of the worst from our communities: join.ice.gov. | | # # # | | | | | Trump Administration Fights for America's Economic and National Security, Designating New Chinese Industry Sectors as High-Priority for Enforcement under the Uyghur Forced Labor Prevention Act | | 08/19/2025 | | U.S. DEPARTMENT OF HOMELAND SECURITY
Office of Public Affairs
| | Trump Administration Fights for America’s Economic and National Security, Designating New Chinese Industry Sectors as High-Priority for Enforcement under the Uyghur Forced Labor Prevention Act | | America adds steel, copper, lithium, caustic soda, and red dates as high-priority sectors for enforcement under the Uyghur Forced Labor Prevention Act which restricts Chinese goods made with forced labor from entering the U.S. WASHINGTON – Today, the United States Department of Homeland Security (DHS) bolstered America’s economic and national security by adding steel, copper, lithium, caustic soda, and red dates as high-priority sectors for enforcement under the Uyghur Forced Labor Prevention Act (UFLPA) which restricts Chinese goods made with forced labor from entering the United States. “America has a moral, economic, and national security duty to eradicate threats that endanger our nation’s prosperity, including unfair trade practices that disadvantage the American people and stifle our economic growth. The Trump administration is taking action,” Department of Homeland Security Secretary Kristi Noem said in a statement. “The use of slave labor is repulsive and we will hold Chinese companies accountable for abuses and eliminate threats its forced labor practices pose to our prosperity.” DHS serves as the chair of the Forced Labor Enforcement Task Force (FLETF) and each year updates the UFLPA’s Strategy to Prevent the Importation of Goods Mined, Produced, or Manufactured with Forced Labor in the People’s Republic of China (UFLPA Strategy) in order to protect the American people. This year’s UFLPA Strategy also highlights enhancements made to enforcement by U.S. Customs and Border Protection (CBP). As of August 1, 2025, CBP has stopped more than 16,700 shipments valued at almost $3.7 billion for further examination under the UFLPA. Of these, more than 10,000 shipments valuing almost $900 million have been denied entry, keeping these suspected illicit goods out of U.S. markets. The 144 entities on the UFLPA Entity List were identified as using or facilitating forced labor of Uyghurs and other ethnic minorities from the Xinjiang Uyghur Autonomous Region. The Trump Administration will continue to hold companies who use or facilitate modern-slavery accountable for their human rights violations by prohibiting their goods from access to our markets. The 2025 Updates to the UFLPA Strategy and a Fact Sheet are available on DHS’ UFLPA website. | | # # # | | | | | WORST OF THE WORST: ICE Arrests Gang Member with 24 Arrests and 16 Convictions | | 08/19/2025 | | | | | | WORST OF THE WORST: ICE Arrests Gang Member with 24 Arrests and 16 Convictions Other heinous criminal illegal aliens arrested included pedophiles and rapists WASHINGTON – Yesterday, U.S. Immigration and Customs Enforcement (ICE) arrested Alejandro Lima-Ramirez, a 46-year-old criminal illegal alien from Mexico and member of the Florencia 13 Street gang. Lima-Ramirez has a criminal history comprising of 24 arrests in California and Oregon, and 16 convictions including drug trafficking, robbery, fraud, and carrying a concealed weapon. "This criminal illegal alien gang member with 24 arrests was allowed to terrorize American citizens because of sanctuary politicians. We will no longer allow sanctuary politicians to put American lives at risk," said Assistant Secretary Tricia McLaughlin. "President Trump and Secretary Noem are restoring law and order to our communities. If you come to our country illegally and break our laws, we will find you, we will arrest you, and you will never return." ICE also arrested the following pedophiles and sex criminals: Armando Isaias Bermejo, a 42-year-old criminal illegal alien from Mexico. His criminal history includes a felony conviction for aggravated sexual assault of a minor in Bridgeton, New Jersey. Rufino Rodriguez-Calzada, a 48-year-old criminal illegal alien from Mexico. His criminal history includes a conviction for indecent liberties with a child in Sampson County, North Carolina. Erasto Cruz, a 56-year-old criminal illegal alien from Mexico. His criminal history includes a conviction for sexual assault of child in San Jacinto County, Texas. Jose Del Angel-Salazar, a 52-year-old criminal illegal alien from Mexico. His criminal history includes a conviction for first-degree rape in Guilford County, North Carolina. DHS encourages Americans – of any age – with a commitment to public safety, national service, and upholding the rule of law to apply to join ICE today and help DHS remove the worst of the worst from our communities: join.ice.gov. | | | | | | News Outlets Ignore DHS Social Media Posts Highlighting the Victims of Criminal Illegal Aliens | | 08/19/2025 | | | | | News Outlets Ignore DHS Social Media Posts Highlighting the Victims of Criminal Illegal Aliens The media spends more time covering DHS social media posts of paintings and art than covering the stories of the American victims whose lives have been destroyed by criminal illegal aliens WASHINGTON—On the Department of Homeland Security (DHS) social media accounts, DHS highlights criminal illegal aliens and their American victims every single day. Instead of telling these horrific and tragic stories, the media chooses to write stories on how artists are not happy with our social media and claims of appealing to "white identity." Below are just a few samplings of the "news" headlines: "This gutter state of 'journalism' does a disservice to the American people. Every single day Americans are killed by illegal aliens who should have never been in this country. And nearly every single day the media ignore these victims," said Assistant Secretary Tricia McLaughlin. "Where is the media's obsession with our social media posts on Rachel Morin's killer being sentenced to life in prison? Where is their coverage on the DHS video of Katie Abraham's mom and dad telling their heartbreaking story of their daughter being killed in a hit and run by an illegal? Where is the story on the two high school sweethearts killed by an illegal alien drinking and driving in Wisconsin?" Here is just a sampling of the posts the media failed to cover: LINK LINK LINK The real reason the media is obsessed with covering DHS' social media is Secretary Noem's message is directly reaching the American people and the media can no longer throttle the truth. DHS reaches approximately 40+ million Americans weekly through strategic social media content covering critical national security topics. DHS social media reach has grown 13x in just six months, from 3.5 million weekly impressions in February to 46.1 million in July 2025. This exponential growth demonstrates the Department's enhanced ability to effectively communicate critical information to the American public. | | | | | | Cornhusker Clink: A New Partnership with DHS and the State of Nebraska to Expand Detention Space | | 08/19/2025 | | U.S. DEPARTMENT OF HOMELAND SECURITY
Office of Public Affairs
| | Cornhusker Clink: A New Partnership with DHS and the State of Nebraska to Expand Detention Space | | Following Alligator Alcatraz and Speedway Slammer, the Nebraska correctional facility marks the third state partnership to expand ICE detention space WASHINGTON – Today, the Department of Homeland Security (DHS) announced a new partnership with the state of Nebraska to expand ICE detention space by up to 280 beds. U.S. Immigration and Customs Enforcement (ICE) is partnering with the Nebraska Department of Correctional Services, and these beds will be available at the Work Ethic Camp in McCook, Nebraska. The facility dubbed the “Cornhusker Clink” will house criminal illegal aliens arrested by ICE. This agreement was made possible by the One Big Beautiful Bill. This law fully funded the 287(g) program and provided funding to secure 80,000 new beds for ICE to utilize when detaining and deporting the worst of the worst. “COMING SOON to Nebraska: Cornhusker Clink. Today, we’re announcing a new partnership with the state of Nebraska to expand detention bed space by 280 beds,” said Secretary Noem. “Thanks to Governor Pillen for his partnership to help remove the worst of the worst out of our country. If you are in America illegally, you could find yourself in Nebraska’s Cornhusker Clink. Avoid arrest and self deport now using the CBP Home App.” “Today the State of Nebraska is stepping up its support of President Trump’s and Secretary Noem’s immigration enforcement initiatives in several key ways,” said Nebraska Governor Jim Pillen. “I am pleased that our facility and team in McCook can be tasked with helping our federal partners protect our homeland by housing criminal illegal aliens roaming our country’s communities today. I am also proud that the Nebraska State Patrol and National Guard will be assisting ICE enforcement efforts, as well. Homeland security starts at home, and, just as when I twice deployed troops to secure our southern border during the failed Biden administration, Nebraska will continue to do its part.” Additionally, the Nebraska State Patrol announced its intent to sign a 287(g) agreement empowering its Nebraska State Troopers to help ICE get these criminal illegal aliens off our streets. Moreover, Gov. Pillen ordered the Nebraska National Guard to provide administrative and logistical support to Nebraska-based ICE officials in enforcing immigration laws. Approximately 20 Army National Guard soldiers will participate in this mission, commencing training within the next week. | | | | | | | DHS Law Enforcement Arrests Gang Members, Kidnappers, Drug Traffickers As Part of President Trump's Effort to Crack Down on Violent Crime and Make D.C. Safe Again | | 08/19/2025 | | | | | DHS Law Enforcement Arrests Gang Members, Kidnappers, Drug Traffickers as Part of President Trump's Effort to Crack Down on Violent Crime and Make D.C. Safe Again DHS deployed hundreds of law enforcement resources to make the nation's capital safe and beautiful again WASHINGTON – Today, the Department of Homeland Security (DHS) is highlighting some of the worst of the worst arrested in President Trump's efforts to crack down on violent crime in Washington D.C. over the past week. "President Trump was clear: he will make DC safe and beautiful again," said Assistant Secretary Tricia McLaughlin. "In less than a week, ICE and CBP arrested gang members, kidnappers, drug traffickers, and other violent thugs. We will support the re-establishment of law and order and public safety, so Americans can feel safe in our nation's capital." Below are just some of the criminal illegal aliens taken off D.C. streets: - Cristian Salmeron-Osorio, a criminal illegal alien from El Salvador and known MS-13 gang member. He was previously convicted of assault.
- Jossue Garcia-Portillo, a criminal illegal alien from El Salvador, and confirmed 18th street gang member.
- Geiser Fernandez-Vasquez, a criminal illegal alien from Venezuela, previously convicted of kidnapping.
- Anthony Prudencio-Henriquez, a criminal illegal alien from El Salvador, previously convicted of kidnapping.
- Carlos Fuentes, a criminal illegal alien from El Salvador, previously charged with dangerous drugs.
- Leonel Bautista-Cruz, a criminal illegal alien from El Salvador, previously convicted of burglary.
- Jose Menendez, a criminal illegal alien from El Salvador, previously convicted of assault.
- Ervin Juarez-Perez, a criminal illegal alien from Guatemala, previously convicted of assault.
- Suraj Tairu, a criminal illegal alien from Nigeria, previously charged with smuggling heroin and escaping from federal custody.
- Juan Cabos-Vargas, a criminal illegal alien from Mexico, previously charged with assault.
- Raul Quintanilla-Cabezas, a criminal illegal alien from El Salvador, previously charged with commercialized sexual offenses.
- Pablo Garcia-Hernandez, a criminal illegal alien from Venezuela, previously charged with dangerous drugs.
- Victor Cabrera, a criminal illegal alien from El Salvador, previously charged with assault.
- Walter Juarez-Perez, a criminal illegal alien from Guatemala, previously charged with assault.
- Jacqueline Mujica-Herman, a criminal illegal alien from Venezuela, previously charged with larceny.
| | | | | | CCHT Chronicle: August 2025 | | 08/20/2025 | | The Monthly Newsletter of the Center for Countering Human Trafficking | | Shining a Light: Summer Safety Against Trafficking The internet is a powerful tool that we've come to rely on for our daily lives – it's how we connect to one another and the world around us, manage daily tasks like paying bills or mapping our way to the grocery store, and complete assignments for work and school. But for all the positive uses of the internet, there are also people who use its power to exploit others. Human traffickers have taken advantage of the anonymity afforded by the internet, using online platforms such as social media or online gaming networks to target the vulnerable, especially young people who use the internet most frequently. You can join us in the fight against trafficking by sharing our resources on social media, and having open and honest discussions about online safety with the kids and teens in your life. A simple conversation, shared online or in person, can make a huge difference in protecting the next generation from exploitation.  Powerful Partnerships: Blue Campaign works with the National Center for Missing and Exploited Children The Blue Campaign is proud to join forces with the National Center for Missing and Exploited Children (NCMEC) this year to empower parents, educators, and kids with engaging, age-appropriate resources to navigate digital spaces safely. NCMEC is a nonprofit that works with victims, families, law enforcement, and the public to find missing children, stop child sexual exploitation, and prevent future victimization. Together, we're working to stop online exploitation and trafficking of youth with targeted outreach that puts a spotlight on what it is, how it happens, and what to do if you encounter it. Everyone has a role to play in preventing youth exploitation, including kids themselves. To find resources, educate, and help talk about human trafficking, please check out: - NCMEC: Resources for parents, educators and communities
- Blue Campaign's Youth Video Series: Mia's Story and Carter's Story help kids learn what human trafficking looks like online and how to report it
- Blue Campaign's Youth and Human Trafficking page: Offers tips for kids to know the signs of human trafficking and learn how to protect themselves
For adults and educators, available resources include: You can find all these resources and more on our campaign page. Trafficking Risks Confronting Unaccompanied Alien Children Some children are at a higher risk of being exploited, namely, those who arrive at the U.S. border alone. Every year, thousands of unaccompanied alien children arrive at the U.S. border alone — in search of safety, opportunity or a better life. Once these unaccompanied children enter the United States, they are at high risk of exploitation, abuse, and trafficking without parents or guardians to protect and guide them. The Blue Campaign aims to raise awareness to counter the exploitation of unaccompanied alien children and educate potential sponsors and caregivers. Learn more here. HSI San Juan Arrests Former Teacher for Child Sex Trafficking On July 10, a federal grand jury in Puerto Rico returned an indictment charging Lizamarie Rivera-García, 42, of Bayamón, with multiple counts of child sex trafficking. Rivera-Garcia was arrested by Homeland Security Investigations (HSI) San Juan the same day. Rivera-García, a former religion teacher, is accused of recruiting, coercing, and transporting two male minors — ages 15 and 17 — for commercial sex acts between December 2023 and November 2024. Court documents allege that she knowingly enticed the minors and exploited them for nearly a year and was involved in transporting the children within U.S. territories. HSI San Juan Special Agent in Charge Rebecca C. Gonzalez-Ramos emphasized law enforcement's unwavering commitment to protecting children, adding, "We will not let these acts happen on our watch." If convicted, Rivera-García faces mandatory minimum sentences ranging from 10 to 15 years for each charge, with the potential for life imprisonment. The case is being prosecuted by the U.S. Attorney's Office's Child Exploitation and Immigration Unit. | Deputy Secretary Troy Edgar Visits Center for Countering Human Trafficking The Center for Countering Human Trafficking was honored to welcome Department of Homeland Security Deputy Secretary Troy Edgar for a special visit recently. During his time at the Center, Deputy Secretary Edgar met with leadership and staff from across CCHT to learn more about the Department's integrated strategy to combat human trafficking through victim support, criminal enforcement, and strategic outreach. The visit included briefings on ongoing initiatives such as Blue Campaign awareness efforts, support for unaccompanied children, and recent field operations targeting trafficking networks. Deputy Secretary Edgar acknowledged the Center's accomplishments in combating human trafficking and assisting victims, including unaccompanied alien children, and commended the Blue Campaign for contributions that have significantly raised public awareness of sex and labor trafficking. His visit underscored DHS's commitment to elevating the fight against human trafficking as a departmental priority and ensuring continued investment in the Center's mission. CCHT staff were proud to share the impact of their work and the importance of collaboration in driving meaningful change for victims and communities. | | @DHS Center for Countering Human Trafficking on LinkedIn | | | | | | | After Visiting Flood-Stricken New Mexico, Secretary Noem Announces Over $11 Million in Disaster Relief Funding | | 08/20/2025 | | | | | After Visiting Flood-Stricken New Mexico, Secretary Noem Announces Over $11 Million in Disaster Relief Funding DHS rushed immediate disaster relief funding to New Mexico following deadly flooding RUIDOSO, NM – Yesterday, Department of Homeland Security (DHS) Secretary Kristi Noem announced another $11.4 million in disaster relief funding for disaster recovery projects in Ruidoso, New Mexico after floods in July that that killed three people. Secretary Noem announced the additional funding during her visit to Ruidoso, New Mexico, which was most impacted by the floods. She had previously announced $3.1 million of upfront aid to the state, along with more than 160 emergency management staff who are to remain in the area. And, after President Trump signed an Emergency Disaster Declaration and a Major Disaster Declaration in response to the flooding, an additional $2.9 million in funding was unlocked to help families rebuild. "Under the Trump Administration, FEMA is faster and more responsive than ever," said Secretary Noem. "We're seeing that in Ruidoso, and we will stand with New Mexico until full recovery is achieved." In July, sudden heavy rainfall caused the Rio Ruidoso to rise a record breaking 20 feet in only 30 minutes. The disaster claimed 3 lives and caused widespread damage to the impacted area This disaster funding will help New Mexico and the people of Ruidoso rebuild from this disaster by funding repairs to roads and bridges, clearing debris, and providing funding to families to rebuild what they lost. This rapid response was made possible by President Trump's and Secretary Noem's efforts to make federal emergency management leaner, more effective, and more responsive by cutting red tape and eliminating waste, fraud, and abuse. | | | | | | WORST OF THE WORST: ICE Arrests in Georgia Skyrocket under Trump Administration | | 08/20/2025 | | U.S. DEPARTMENT OF HOMELAND SECURITY
Office of Public Affairs
| | WORST OF THE WORST: ICE Arrests in Georgia Skyrocket under Trump Administration | | 367% increase in arrests of illegal aliens in the Peach State compared to Biden WASHINGTON – Today, the Department of Homeland Security announced U.S. Immigration and Customs Enforcement (ICE) arrested 4,500 illegal aliens in Georgia between January 20 and July 31. These numbers reflect a 367% increase of illegal alien arrests compared to the 963 arrests during the same period in 2021 under the Biden administration. “Biden’s open border polices allowed Laken Riley’s killer to be in the country and gave him the opportunity brutally murder the young Georgia nursing student. President Trump promised to put Americans first and remove violent criminals from our country and that’s exactly what we are doing,” said Assistant Secretary Tricia McLaughlin. “Thanks to his and Secretary Noem’s leadership, ICE is once again empowered to remove the worst of the worst—including murderers, pedophiles, gang members, drug traffickers, and terrorists. In Georgia alone, arrests of illegal aliens have increased by 367%.” Below are some of the worst of the worst arrested in Georgia under President Trump:  Osvaldo Rodriguez-Padilla, a criminal illegal alien from Mexico, convicted of importing 20.9 kilograms of mixture or substance containing a detectable amount of cocaine.  Flavio Delabra Rebollar, a criminal illegal alien from Mexico, convicted of distribution of methamphetamine, drug trafficking, multiple weapon offenses, and illegal entry.  Jacob Aguillon-Martinez, a criminal illegal alien from Mexico, arrested for homicide-negligent manslaughter-vehicle and hit and run.  Juan Carlos Mendoza-Gonzalez, a criminal illegal alien from Mexico, convicted of statutory rape and child molestation/aggravated child molestation.  Eduardo Garcia-Gonzalez, a criminal illegal alien from Mexico, arrested for two counts of child molestation and two counts of sexual battery against a child under 16, and possession of a schedule II-controlled substance and possession of drug related objects.  Robert Edward Matos-Madueno, a criminal illegal alien from Venezuela, arrested for child molestation, sexual battery against a child under 16, and false imprisonment.  Luis Alfredo Betancourth-Euceda, a criminal illegal alien from Honduras, convicted of two counts of sexual battery against a child under 16.  Armando Garcia Ramos, a criminal illegal alien from Guatemala, whose criminal history includes attempted felony murder and use of a firearm during the commission of a felony, a conviction for possession of a firearm and ammunition by a prohibited person and an arrest for driving without a valid license.  Matilde Romero Sanchez, a criminal illegal alien from Mexico, arrested for incest and child molestation.  Fernando Hernandez-Martinez, a criminal illegal alien from Mexico, convicted of two counts of child molestation. | | # # # | | | | | WORST OF THE WORST: ICE Arrests Violent Criminal Alien with 38 Arrests and 15 Convictions | | 08/20/2025 | | U.S. DEPARTMENT OF HOMELAND SECURITY
Office of Public Affairs
| | WORST OF THE WORST: ICE Arrests Violent Criminal Alien with 38 Arrests and 15 Convictions | | Other ICE arrests include pedophiles, drug traffickers, and violent criminals WASHINGTON – Yesterday, U.S. Immigration and Customs Enforcement (ICE) announced the arrests of the worst of the worst criminal illegal aliens—including an illegal alien with 38 arrests and 15 convictions. Other worst of the worst arrested included pedophiles, drug traffickers, and violent criminal illegal aliens. “One of the worst of the worst criminal illegal aliens arrested by ICE yesterday had 38 prior arrests and 15 convictions, including sexual assault, aggravated assault, and burglary,” said Assistant Secretary Tricia McLaughlin. “Under the Biden Administration, serial criminal illegal aliens were allowed to terrorize Americans. We are restoring law and order and putting the safety of Americans first. No longer is America a safe haven for the world’s criminals.” Yesterday’s arrests include:  - Jonatan Monzon-Olivares, a criminal illegal alien from Guatemala with 38 prior arrests and 15 convictions, including sexual assault, aggravated assault, burglary, larceny, possession of stolen property, and obstructing justice.
 - Pedro Carrillo-Miranda, a criminal illegal alien from Mexico convicted of a sex offense against a child – fondling.
 - Lloyd Tinashe HweHwe, a criminal illegal alien from Zimbabwe convicted of intoxicated manslaughter.
 - Trong Ho Luong, a criminal illegal alien from Vietnam convicted of manufacturing and delivering cocaine and MDMA.
 - Lamphay Syvongsa, a criminal illegal alien from Laos convicted of robbery with an imitation firearm, feloniously pointing a firearm, possession of a firearm after a felony conviction, and multiple traffic offenses.
| | # # # | | | | | Two Violent Criminal Illegal Aliens Charged with Rape, Aggravated Sodomy, and Kidnapping of Woman in Kansas | | 08/20/2025 | | U.S. DEPARTMENT OF HOMELAND SECURITY
Office of Public Affairs
| | Two Violent Criminal Illegal Aliens Charged with Rape, Aggravated Sodomy, and Kidnapping of Woman in Kansas | | The female victim reported she was abducted from the First Council Casino & Resort in Newkirk, Oklahoma WASHINGTON – The Department of Homeland Security (DHS) announced U.S. Immigration and Customs Enforcement (ICE) issued arrest detainers for Luis Miguel Dominguez-Barrios, currently being held on a $1 million bond following charges of rape, aggravated criminal sodomy, and aggravated kidnapping and his alleged accomplice Jose Fernando-Lux Morales, currently being held on a $500,000 bond for aggravated kidnapping. ICE lodged arrest detainers to ensure these criminals are not released back into American communities.  Luis Miguel Dominguez-Barrios  Jose Fernando-Lux Morales On August 17, 2025, at approximately 1:18 a.m., Arkansas City Police Officers were dispatched to the 1600 block of South Sixth Street for a reported kidnapping. The female victim reported she had been taken against her will from the First Council Casino & Resort in Newkirk, Oklahoma. She further stated she was sexually assaulted by both male suspects and the assaults continued while traveling through Arkansas City. “Depraved, violent predators like Luis Miguel Dominguez-Barrios and Jose Fernando-Lux Morales have no place in our country,” said Assistant Secretary Tricia McLaughlin. “Under President Trump and Secretary Noem’s leadership, vicious criminals who kidnap and sexually assault women will face the consequences for their heinous crimes and will never be allowed to prey on innocent Americans again. ICE’s arrest detainers ensure these criminal illegal aliens never walk free on U.S. streets again.” Luis Miguel Dominguez-Barrios, a criminal illegal alien from Guatemala, crossed the southern border illegally on August 31, 2013, and was released by the Obama Administration. His rap sheet includes disorderly conduct, domestic violence, and threatening a law enforcement officer. Jose Fernando-Lux Morales, a criminal illegal alien from Guatemala, crossed the southern border illegally as an unaccompanied minor in 2018. DHS, through ICE, continues to prioritize the arrest and removal of the worst of the worst criminal illegal aliens who are endangering the lives and well-being of Americans. The agency’s strong partnerships with state and local law enforcement ensure individuals charged with serious and violent offenses remain in custody and are swiftly removed from the United States. | | # # # | | | | | U.S. Coast Guard Takes on Drug Cartels and Human Smugglers in Operation Pacific Viper | | 08/20/2025 | | | | | U.S. Coast Guard Takes on Drug Cartels and Human Smugglers in Operation Pacific Viper The Coast Guard's surge to the Eastern Pacific is intercepting deadly drugs and illegal aliens before they reach American shores WASHINGTON – This week, the United States Coast Guard launched Operation Pacific Viper: a surge in forces to the Eastern Pacific to stop the cartels and criminal organizations – cutting off drugs and human smuggling before they reach American shores. Since launching Pacific Viper, the Coast Guard has hunted down, interdicted, and boarded several illegal vessels, seizing thousands of pounds of drugs and detaining several smugglers. "80% of illicit drug seizures occur at sea. The U.S. Coast Guard is surging maritime interdictions in the Eastern Pacific to stop the cartels and criminal organizations— cutting off drugs and human smuggling before it reaches American shores," said Sec. Kristi Noem. "As part of Operation Pacific Viper, this weekend alone, USCGC Stone interdicted 2 vessels — seizing 3,497 kilograms of cocaine and detaining 6 Ecuadorian smugglers. MAKE AMERICA SAFE AGAIN!" The Coast Guard has also interdicted multiple other drug smuggling boats across the Eastern Pacific. Thus far, it has seized over 13,000 pounds of cocaine and arrested 11 suspected drug smugglers. On August 8th USCG Cutter Hamilton interdicted a drug smuggling vessel south of Mexico, seizing three detainees along with over 4,000 pounds of cocaine. USCGC Hamilton conducts interdiction of drug smuggling Mexico on August 8th, 2025. USCGC Hamilton conducts interdiction of drug smuggling Mexico on August 8th, 2025. On August 11th a Coast Guard Law Enforcement Detachment (LEDET) onboard the U.S. Navy guided missile destroyer USS Sampson interdicted a drug smuggling boat south of Mexico. The suspected traffickers tried to dump their cargo and flee. The LEDET fired upon the vessel's engine from a helicopter, disabling it. Two suspected smugglers were detained along with over 1,300 pounds of cocaine. | | | | | | DHS Scores Major Victory in the Legal Battle Over Unvetted Immigration, TPS | | 08/20/2025 | | U.S. DEPARTMENT OF HOMELAND SECURITY
Office of Public Affairs
| | DHS Scores Major Victory in the Legal Battle Over Unvetted Immigration, TPS | | The decision by a federal court allows DHS to move forward with revoking Temporary Protected Status for aliens from Honduras, Nicaragua, and Nepal WASHINGTON – In a significant legal victory today, the U.S. 9th Circuit Court of Appeals granted the Trump administration’s request for a stay, pending appeal, in a lawsuit over Homeland Security Secretary Kristi Noem’s decision to end Temporary Protected Status (TPS) for aliens from Honduras, Nicaragua, and Nepal. “This is yet another huge legal victory for the Trump Administration, the rule of law, safety of the American public. Temporary Protected Status was always meant to be just that: Temporary,” said Assistant Secretary Tricia McLaughlin.“TPS was never meant to be a de facto asylum system, yet that is how previous administrations have used it for decades while allowing hundreds of thousands of foreigners into the country without proper vetting. This unanimous decision will help restore integrity to our immigration system to keep our homeland and its people safe.” The decision in National TPS Alliance v. Kristi Noem by the three-judge panel was unanimous. | | # # # | | | | | Secretary Noem Announces an Additional $96 Million in Federal Funding for North Caroline Victims of Hurricane Helene | | 08/21/2025 | | | | | Secretary Noem Announces an Additional $96 Million in Federal Funding for North Caroline Victims of Hurricane Helene North Carolina communities are getting the support they need after being ignored by the previous Administration Ashville, NC – Yesterday, Department of Homeland Security Secretary (DHS) Secretary Kristi Noem announced that in August alone, North Carolina has been provided an additional $96 million to support communities that were devastated by Hurricane Helene in 2024. The funds, distributed by the Federal Emergency Management Agency (FEMA), are being used to fund more than 200 state and local recovery projects, including road repairs, critical infrastructure restoration, debris removal, and other emergency actions taken to protect life and property following the storm. "North Carolina families suffering from this unimaginable tragedy were cruelly ignored by the Biden administration," said Assistant Secretary Tricia McLaughlin. "Under President Trump and Secretary Noem's leadership, FEMA is moving faster than ever before to get Americans the relief they need. This move to continue supporting North Carolina victims of Hurricane Helene is a testament to that fact." FEMA is reimbursing 90% of these response and recovery costs incurred by the state of North Carolina and local governments. Since President Trump took office on January 20, FEMA has provided more than $322 million in reimbursements to support recovery efforts in North Carolina. | | | | | | Following Fatal Car Crashes in Maine, ICE Arrests Two Illegal Aliens | | 08/21/2025 | | U.S. DEPARTMENT OF HOMELAND SECURITY
Office of Public Affairs
| | Following Fatal Car Crashes in Maine, ICE Arrests Two Illegal Aliens | | Illegal aliens cause far more deaths behind the wheel than the media reports on WASHINGTON – In less than a week, the Department of Homeland Security (DHS) has confirmed the involvement of two Angolan illegal aliens in separate vehicle wrecks that resulted in the death of two pedestrians in Maine. Both illegal aliens overstayed B-2 tourist visas and have been arrested by ICE. On August 16, Mukendi Mbiya hit Stacy Strattard, 64, with his car while she was crossing the street in New Gloucester—tragically killing her at the scene. The incident is still being investigated by authorities.  Stacy Strattard He entered the U.S. on a B-2 tourist visa on December 23, 2018. His visa required him to depart the U.S. on June 22, 2019, which he failed to do. On August 18, 2025, ICE arrested Mbiya.  Mukendi Mbiya Lionel Francisco was detained by Lewiston Police Department after reportedly driving over Elizabeth Camacho, a 74-year-old pedestrian, in a public park. Local reports confirm Francisco was operating the vehicle while on a learner’s permit. The local jurisdiction is not perusing any criminal charges despite the death of an innocent American. Francisco entered the U.S. on a B-2 tourist visa on January 31, 2025. His visa required him to depart the U.S. on July 30, 2025, which he failed to do. On August 15, 2025, ICE arrested Francisco.  Lionel Francisco “It seems to be almost a daily occurrence where an illegal alien driving kills innocent Americans,” said Assistant Secretary Tricia McLaughlin. “All of these deaths are preventable because these illegal aliens should have NEVER been in our country. These two illegal aliens in Maine came to the country on B-2 tourist visas that allowed them to remain in the country for six months. Both overstayed their visas and never left the U.S. President Trump and Secretary Noem are committed to restoring integrity to our visa programs to ensure they are not exploited by illegal aliens as one-way tickets to remain in the U.S.” DHS law enforcement is protecting American communities every day from another senseless tragedy like this taking place in another town, to another family. Victims of illegal alien crime may receive support from the Victims of Immigration Crime Engagement (VOICE) Office by contacting 1-855-488-6423. | | # # # | | | | | ICE Arrests Illegal Alien Involved in Fatal 18-Wheeler Crash Caused by Illegal Alien's Reckless Driving | | 08/21/2025 | | U.S. DEPARTMENT OF HOMELAND SECURITY
Office of Public Affairs
| ICE Arrests Illegal Alien Involved in Fatal 18-Wheeler Crash Caused by Illegal Alien’s Reckless Driving | Harneet Singh’s brother, the driver of the 18-wheeler, was charged with three counts of vehicular homicide WASHINGTON—The Department of Homeland Security (DHS) confirms U.S. Immigration and Customs Enforcement (ICE) arrested Harneet Singh, 25, an illegal alien from India, after an 18-wheeler he was a passenger in made an illegal U-turn on the Florida Turnpike, causing a horrific crash leaving three dead. Harjinder Singh, Harneet’s brother, and driver of the truck, now faces three counts of vehicular homicide. According to the Florida Department of Highway Safety and Motor Vehicles, on August 12, 2025, Harjinder Singh, attempted to make an illegal U-turn through an “Official Use Only” access point in St. Lucie County. By blocking all lanes of the highway with his truck, Singh caused a brutal wreck, instantly killing three innocent people and leaving Florida families shattered. Border Patrol encountered Harneet Singh May 15, 2023, and was released into American communities by the Biden Administration. “Three innocent people were killed in Florida because Gavin Newsom’s California Department of Motor Vehicles issued an illegal alien a Commercial Driver’s License—this state of governance is asinine,” said Assistant Secretary Tricia McLaughlin. “How many more innocent people must die before Gavin Newsom stops playing games with the safety of the American public? We pray for the victims and their families. Secretary Noem and DHS are working around the clock to protect the public and get these criminal illegal aliens out of America.” ICE arrested Harneet on August 18, and he will remain in custody pending removal proceedings. | | # # # | | | | | WORST OF THE WORST: ICE Arrests More Criminal Illegal Aliens Convicted of Child Sex Crimes, Extortion, and Intoxicated Manslaughter | | 08/21/2025 | | U.S. DEPARTMENT OF HOMELAND SECURITY
Office of Public Affairs
| | WORST OF THE WORST: ICE Arrests More Criminal Illegal Aliens Convicted of Child Sex Crimes, Extortion, and Intoxicated Manslaughter | | 70% of ICE arrests are of illegal aliens charged or convicted of a crime in the U.S. WASHINGTON – Yesterday, U.S. Immigration and Customs Enforcement (ICE) arrested more worst of the worst criminal illegal aliens convicted of child sex crimes, extortion, and intoxicated manslaughter. “Every single day, our brave ICE law enforcement risk their lives to arrest the worst of the worst criminal illegal aliens,” said a Senior DHS Official. “From pedophiles to drunk drivers killing innocent people, President Trump and Secretary Noem will not allow criminal illegal aliens to terrorize American citizens. Our message to criminal illegals is clear: LEAVE NOW. If you don’t, we will find you and we will deport you.” Yesterday’s ICE arrests included:  Jose Luis Gonzalez-Montiel, a 39-year-old citizen of Mexico, convicted for intoxicated manslaughter in Bexar County, Texas.  Viroth Phannavong, a 58-year-old criminal illegal alien from Laos, convicted of first degree child molestation in Providence, Rhode Island.  Meljim Ramirez-Perez, a 40-year-old criminal illegal alien from Guatemala, convicted of continuous sex abuse of a child in Los Angeles.  Andre Etienne, a 35-year-old criminal illegal alien from Jamaica, convicted of child molestation in Conyers, Georgia.  Zhiping Liu, a 45-year-old criminal illegal alien from China, convicted of theft by extortion in Brookville, Pennsylvania. | | # # # | | | | | Secretary Noem Delivers $12 Billion in Savings to the American People in 200 Days | | 08/22/2025 | | U.S. DEPARTMENT OF HOMELAND SECURITY
Office of Public Affairs | | Secretary Noem Delivers $12 Billion in Savings to the American People in 200 Days | | On average, Secretary Noem saves U.S. taxpayers more than $50 million a day WASHINGTON — Thanks to President Trump’s leadership, in seven months, Department of Homeland Security (DHS) Secretary Kristi Noem has saved the American people $12 billion through common-sense cost accountability processes across DHS. By reducing the size of government and eliminating career bureaucrats, Secretary Noem saved U.S. taxpayers $1.3 billion. All of these savings were achieved without cuts to key law enforcement, border security, national security, immigration enforcement and positions with a public safety responsibility. Secretary Noem personally reviews and approves any contract above $100,000. This process saved U.S. taxpayers an additional $10.7 billion. For years, unelected bureaucrats rubber-stamped hundreds of millions of dollars in contracts, fueling a culture of waste, fraud, and abuse. Under Secretary Noem, that era is over. “It is stunning that for years, career bureaucrats were unilaterally signing off on hundred-million-dollar contracts leading to massive waste, fraud, and abuse of U.S. taxpayer dollars,” said Assistant Secretary Tricia McLaughlin. “While lobbyists and special interests are fighting for government contracts, Secretary Noem is fighting for the American taxpayer. In less than seven months, she’s saved the U.S. taxpayer $12 billion--that’s more than $50 million a DAY since she took office.” These figures don’t even include the additional savings from DHS's immigration enforcement efforts under President Trump’s leadership. The Federation for American Immigration Reform (FAIR) estimates the net cost of illegal immigration at the federal, state, and local levels was at least $150.7 billion annually as of early 2023. This translates to an average cost of $8,776 per illegal immigrant or U.S.-born child of illegal immigrants per year. Removing 1.6 million illegals from the country has resulted in an additional $14 billion in cost savings per year. Since taking office, Secretary Noem has reviewed more than 5,000 contracts and reviews all contracts within 24 hours. Secretary Noem’s reforms have exposed years of unchecked spending, including infamous examples such as the federal government paying $1,300 for a single reheatable coffee cup. Secretary Noem’s leadership has delivered results every American can be proud of including the most secure border in American history, removing the worst of the worst criminal illegal aliens from our communities, and the $50 million in taxpayer savings every single day since she took office. | | # # # | | | | | Violent Criminal Illegal Alien Arrested in Florida for Alleged Aggravated Battery Against a Pregnant Woman | | 08/22/2025 | | U.S. DEPARTMENT OF HOMELAND SECURITY
Office of Public Affairs
| | Violent Criminal Illegal Alien Arrested in Florida for Alleged Aggravated Battery Against a Pregnant Woman | | ICE lodged an arrest detainer to ensure this violent thug is not released into American communities again WASHINGTON – U.S. Immigration and Customs Enforcement (ICE) has placed an immigration detainer on Noel Gerardo Niz-Marroquin, a criminal illegal alien from Guatemala, following his arrest in Martin County, Florida for allegedly assaulting a pregnant woman. ICE lodged an arrest detainer ensuring he will not be released into American communities to terrorize more innocent victims.  “What kind of depraved individual beats up a pregnant woman?” said a senior DHS official. “Criminal illegal aliens who endanger and victimize the most vulnerable in our society must never be allowed to remain free to harm American citizens. ICE’s swift actions to issue an arrest detainer ensure this individual is NEVER allowed to terrorize American communities again.” This criminal illegal alien crossed the southern border illegally on March 14, 2022 and was RELEASED by the Biden administration into the country. ICE continues to prioritize the arrest and removal of violent offenders and criminal aliens who pose the greatest threat to public safety. 70 percent of ICE arrests are of criminal illegal aliens charged or convicted of a crime in the U.S. Far more of ICE arrests are criminals who do not have a rap sheet in the U.S.—including foreign fugitives, gang members, and terrorists. DHS law enforcement is protecting American communities every day from another senseless tragedy like this taking place in another town, to another family. Victims of illegal alien crime may receive support from the Victims of Immigration Crime Engagement (VOICE) Office by contacting 1-855-488-6423. | | # # # | | | | | Secretary Noem Condemns the Release of Kilmar Abrego Garcia, a MS-13 Gang Member, Human Trafficker, Wife Beater, and Child Predator | | 08/22/2025 | | U.S. DEPARTMENT OF HOMELAND SECURITY
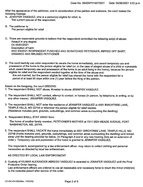
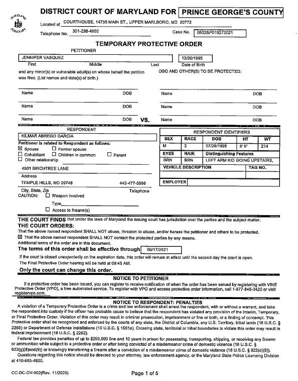
Office of Public Affairs
| | Secretary Noem Condemns the Release of Kilmar Abrego Garcia, a MS-13 Gang Member, Human Trafficker, Wife Beater, and Child Predator | | An unhinged judge in Maryland ordered his release, despite his status as an MS-13 gang member, being indicted by a grand jury for human trafficking, and being subject to arrest under immigration law WASHINGTON – Today, U.S District Court Judge Paula Xinis—appointed by Obama—allowed Kilmar Abrego Garcia, a known MS-13 gang member, human trafficker, wife beater, and child predator to walk free on U.S. streets by not allowing U.S. Immigration and Customs Enforcement (ICE) officials to arrest and detain this public safety threat. Attributable to Secretary Noem: “Activist liberal judges have attempted to obstruct our law enforcement every step of the way in removing the worst of the worst criminal illegal aliens from our country. Today, we reached a new low with this publicity hungry Maryland judge mandating this illegal alien who is a MS-13 gang member, human trafficker, serial domestic abuser, and child predator be allowed free. By ordering this monster loose on America’s streets, this judge has shown a complete disregard for the safety of the American people. We will not stop fighting till this Salvadoran man faces justice and is OUT of our country.” Some of the evidence against this MS-13 gang member is below: In 2019, the Prince Georges County Police Gang Unit validated Abrego Garcia as a member of the Mara Salvatrucha (MS-13) Gang. When he was arrested, he was found with rolls of cash and drugs and was with two other members of MS-13.  On Dec. 1, 2022, Abrego Garcia was stopped by the Tennessee Highway Patrol for speeding. Upon approach to the vehicle, the encountering officer noted eight other individuals in the vehicle.  There was no luggage in the vehicle, leading the encountering officer to suspect this was a human trafficking incident. Additionally, all the passengers gave the same home address as the subject's home address. During the interview, Abrego Garcia pretended to speak less English than he was capable of and attempted to put the encountering officer off-track by responding to questions with questions. When asked what relationship he had with the registered owner of the vehicle, Abrego Garcia replied that the owner of the vehicle is his boss, and that he worked in construction.  Jennifer Vasquez, Garcia’s wife, petitioned for an order of protection against him. She claimed he punched her, scratched her, and ripped off her shirt, and bruised her.   He is also an illegal alien from El Salvador, a fact that he openly admits. That alone give ICE and DHS full lawful authority to place him in removal proceedings.  According to court filings, Kilmar Abrego Garcia solicited nude photographs of a minor. | | # # # | | | | | DHS Condemns Rioters' Violent Assault on ICE Law Enforcement in San Francisco | | 08/22/2025 | | U.S. DEPARTMENT OF HOMELAND SECURITY
Office of Public Affairs | | DHS Condemns Rioters’ Violent Assault on ICE Law Enforcement in San Francisco | | DHS arrests U.S. citizen who assaulted ICE officers and threatened law enforcement yelling at agents, “I’m going to go after your family,” and “I’m going to stab you.” WASHINGTON – The U.S. Department of Homeland Security (DHS) today released the following statement after a group of 15-20 violent rioters in San Francisco, California assaulted, grabbed, punched, and pepper sprayed U.S. Immigration and Customs Enforcement (ICE) law enforcement. On August 20, ICE agents were conducting targeted immigration enforcement at 100 Montgomery Street. As law enforcement attempted to carry out its sworn duties, anti-ICE rioters surrounded and assaulted four federal agents outside the building. The agents sustained injuries from pepper spray deployed by rioters and a jammed finger. One individual, Adrian Guerrero—a U.S. citizen—was charged with assaults and destruction of federal property. According to court filings, Guerrero slashed the tire of a government vehicle and threatened to stab a law enforcement officer.  While standing arm's length from the officer, Guerrero made repeated threats against stating: “I’m going to fuck you up,” “I’m going to go after your family,” and “I’m going to stab you.” At the time of his arrest, Guerrero was in possession of the black knife and the patterned headscarf and orange-tinged goggles visible in the attack.   “Our brave ICE law enforcement are now facing a 1000% increase in assaults against them as they risk their lives to arrest the worst of the worst criminal illegal aliens. These acts of violence are fueled by sanctuary politicians' rhetoric vilifying our law enforcement,” said Secretary Noem. “We will not and have not let this violence stop us or slow us down. Everyday our law enforcement continues to enforce the law and arrest the most depraved criminals including pedophiles, terrorists, murderers, gang members, and sexual predators.” U.S. Federal Protective Services and San Francisco PD were notified and appeared on the scene to help clear the area. The Trump administration is once again implementing the rule of law. DHS encourages Americans with a commitment to public safety, national service, and upholding the rule of law to apply today to jumpstart a fulfilling career in federal law enforcement with ICE: join.ice.gov. | | # # # | | | | | ICE Arrests Worst of the Worst Including Rapists, Child Molesters, and Other Violent Thugs | | 08/23/2025 | | | | | | ICE Arrests Worst of the Worst Including Rapists, Child Molesters, and Other Violent Thugs WASHINGTON – U.S. Immigration and Customs Enforcement (ICE) continues to remove criminal illegal aliens terrorizing Americans within our communities. Thursday and Friday's arrests include individuals convicted of heinous crimes including rape, child molestation, and aggravated assault with deadly weapons. "Rapists. Child molesters. Violent thugs. These are the criminal illegal aliens ICE is arresting and removing from our country," said a Senior DHS Official. "We are calling on all patriotic Americans who want to serve their country to apply to join ICE today to help remove the worst of the worst—including murderers, rapists, terrorists, pedophiles, and gang members from our communities. Apply at JOIN.ICE.GOV." Thursday and Friday's arrests include: - David Pineda-Medrano, a criminal illegal alien from Guatemala, convicted of attempted first-degree child sexual abuse and sexual abuse of a minor and assault causing bodily injury.
- Junior Alexi Medina-Fuentes, a criminal illegal alien from Honduras, convicted of aggravated robbery with a deadly weapon in Harris County, TX.
- Ja Mi, a criminal illegal alien from Thailand, convicted of second-degree forcible rape in Orange County, NC.
- Jorge Andres Garcia-Celis, a criminal illegal alien from Mexico, convicted of molestation of a minor in San Luis Obispo, CA.
- Leonardo Varela-Lopez, a criminal illegal alien from Mexico, convicted of assault and three counts of driving under the influence in Salt Lake City, UT.
- Manuel Ivan Castillo-Estrada, a criminal illegal alien from Mexico, convicted of sexual assault of a child in Hidalgo County, TX.
- Usuman Muhamed, a criminal illegal alien from Vietnam, convicted of murder in Santa Ana, CA and Fullerton Boys street gang member.
- Bala Acharya, a criminal illegal alien from Bhutan, convicted of aggravated DWI with a child passenger less than 16 years old in Rochester, NY.
- Misael Saucedo-Ramirez, a criminal illegal alien from Mexico, convicted of aggravated assault in Cook County, IL.
- Barbaro Reyes-Gomez, a criminal illegal from Cuba, convicted of alien smuggling in Eagle Pass, TX.
| | | | | | Secretary Noem announces an additional $28 million to support North Carolina recovery | | 08/24/2025 | | | | | | Secretary Noem announces an additional $28 million to support North Carolina recovery WASHINGTON – Secretary Kristi Noem announced today an additional $28 million in funding as FEMA continues to support the state of North Carolina as it leads community cleanup and restores infrastructure damaged by Tropical Storm Helene and other disasters. This brings the total in August alone to more than $124 million in recovery funding, as Noem announced $96 million earlier this week. This funding helps cover items like road repairs, critical infrastructure restoration, debris removal and other emergency actions taken to protect life and property following the storm. FEMA is reimbursing these costs through its Public Assistance program which provides funds for state and local governments response and recovery work. To date, more than $655 million has been provided to the state for road repair, debris removal, critical infrastructure repair and more. Since January 20, 2025, more than $350 million in Public Assistance reimbursements has been approved to support the recovery efforts in North Carolina. | | | | | | Secretary Noem Announces ICE Arrest of Kilmar Abrego Garcia, a MS-13 Gang Member, Human Trafficker, Wife Beater, Child Predator and Criminal Illegal Alien | | 08/25/2025 | | U.S. DEPARTMENT OF HOMELAND SECURITY
Office of Public Affairs
| | Secretary Noem Announces ICE Arrest of Kilmar Abrego Garcia, an MS-13 Gang Member, Human Trafficker, Wife Beater, Child Predator and Criminal Illegal Alien | | Garcia will be processed for removal to Uganda WASHINGTON – U.S. Department of Homeland Security (DHS) Secretary Kristi Noem today announced U.S. Immigration and Customs Enforcement’s (ICE) arrest of a known MS-13 gang member, human trafficker, wife beater, and child predator, Kilmar Abrego Garcia. On August 25, ICE arrested Garcia—a criminal illegal alien from El Salvador—in Maryland. He is being processed for removal to Uganda. “Today, ICE law enforcement arrested Kilmar Abrego Garcia and are processing him for deportation,” said Secretary Kristi Noem. “President Trump is not going to allow this illegal alien, who is an MS-13 gang member, human trafficker, serial domestic abuser, and child predator to terrorize American citizens any longer.” Garcia previously admitted to being illegally present in the U.S.  In 2019, the Prince Georges County Police Gang Unit validated Abrego Garcia as a member of the MS-13. When he was arrested, he was found with rolls of cash and drugs and was with two other members of MS-13.  On Dec. 1, 2022, Abrego Garcia was stopped by the Tennessee Highway Patrol for speeding. Upon approach to the vehicle, the encountering officer noted eight other individuals in the vehicle.  There was no luggage in the vehicle, leading the encountering officer to suspect this was a human trafficking incident. Additionally, all the passengers gave the same home address as the subject's home address. During the interview, Abrego Garcia pretended to speak less English than he was capable of and attempted to put the encountering officer off-track by responding to questions with questions. When asked what relationship he had with the registered owner of the vehicle, Abrego Garcia replied that the owner of the vehicle is his boss, and that he worked in construction.  Jennifer Vasquez, Garcia’s wife, petitioned for an order of protection against him. She claimed he punched her, scratched her, and ripped off her shirt, and bruised her.   According to court filings, Kilmar Abrego Garcia also solicited nude photographs of a minor. | | # # # | | | | | DHS Calls Out Sanctuary Politicians for Standing with Kilmar Abrego Garcia, an MS-13 Gang Member, Human Trafficker, Wife Beater, and Child Predator Over the Safety of the American People | | 08/25/2025 | | U.S. DEPARTMENT OF HOMELAND SECURITY
Office of Public Affairs
| | DHS Calls Out Sanctuary Politicians for Standing with Kilmar Abrego Garcia, an MS-13 Gang Member, Human Trafficker, Wife Beater, and Child Predator Over the Safety of the American People | | As ICE arrested Kilmar Abrego Garcia on Monday to process him for removal to Uganda, sanctuary politicians rush to defend this MS-13 gang member and known human trafficker WASHINGTON – The U.S. Department of Homeland Security (DHS) today condemned politicians who rushed to defend an MS-13 gang member, human trafficker, and criminal illegal alien from El Salvador, Kilmar Abrego Garcia. On Monday, U.S. Immigration and Customs Enforcement (ICE) officers arrested Abrego Garcia in Maryland at an ICE processing center on federal immigration violations. Abrego Garcia is being processed for removal from the U.S. to Uganda. While desperate politicians are taking to social media to condemn the Trump Administration’s arrest of this gang member, criminal illegal alien, and public safety threat, they had nothing to say about Americans who’ve been victimized by illegal alien crime. “Kilmar Abrego Garcia is not and will never be a Maryland Man—he is a criminal illegal alien from El Salvador and public safety threat,” said a Senior DHS Official. “It is insane that sanctuary politicians chose to glorify and stand with an MS-13 gang member over the safety of American citizens. President Trump and Secretary Noem are not going to allow this illegal alien—who is an MS-13 gang member, human trafficker, serial domestic abuser, and child predator—to terrorize American citizens any longer.” Below is a handful of sanctuary politicians who continue to defend this known MS-13 gang member, human trafficker, wife beater, and child predator:      Today, Secretary Kristi Noem announced this criminal illegal alien’s arrest by ICE. | | # # # | | | | | Worst of the Worst Arrested Over the Weekend, Including Criminal Illegal Alien Convicted of Voluntary Manslaughter | | 08/25/2025 | | U.S. DEPARTMENT OF HOMELAND SECURITY
Office of Public Affairs
| | Worst of the Worst Arrested Over the Weekend, Including Criminal Illegal Alien Convicted of Voluntary Manslaughter | | Others arrested include pedophiles, drug traffickers, abusers, and other violent thugs WASHINGTON –Over the weekend, U.S. Immigration and Customs Enforcement (ICE) arrested more worst of the worst offenders, including Jung Choi, a 53-year-old criminal illegal alien from South Korea.  In 2017, Choi along with a male companion, Sang Ji, murdered Ji’s wife, Yoon "Clara" Ji and buried her body in a ravine near San Juan Bautista, California. Choi was convicted of voluntary manslaughter and sentenced to 11 years in prison. “We are not going to allow this murderer and criminal illegal alien to remain in our country,” said a Senior DHS Official. “If you come to our country and break our laws, we will find you, arrest you, and deport you. Day after day, ICE is going after the worst of the worst because under President Trump and Secretary Noem DHS will always put AMERICANS first. Just this weekend, ICE arrested pedophiles, drug traffickers, abusers, and other violent thugs.” ICE also arrested:  Marion Andres Gomez-Arenas, a 41-year-old criminal illegal alien from Colombia, who has a history of 23 criminal arrests and 18 convictions throughout the state of Georgia. His crimes include fraud, forgery, shoplifting, DUI, obstruction of a law enforcement officer, possession of tools for commission of a crime, false identification documents, and probation violation.  Arturo Serrano-Zeferino, a criminal illegal alien from Mexico, convicted for felony stalking, domestic violence and protection order violation in Wake County, North Carolina.  Zoilo Holguin-Tavarez, a criminal illegal alien from the Dominican Republic, convicted for possession with intent to deliver and carrying a firearm during the commission of a drug trafficking crime in US District Court for the Eastern District of Pennsylvania.  Kelin Henriquez-Ruiz, a criminal illegal alien from Nicaragua, convicted for assault causing bodily injury in Austin, Texas.  Rigoberto Morales Hernandez, a criminal illegal alien from Mexico, convicted for alien smuggling in Albany, New York.  Miguel Martinez, a criminal illegal alien from Mexico, convicted for third-degree sexual exploitation of a minor and disseminating obscenity to a minor in Washington County, North Carolina.  Xaykham Mannavong, criminal illegal alien from Laos, convicted for aggravated assault with a gun in Los Angeles, California.  Madai Perez-Perez, a criminal illegal alien from Guatemala, convicted for willful poisoning of food on a person in Placer County, California.  Long Duc Tran, a criminal illegal alien from Vietnam, convicted for assault in Montgomery County, Maryland and for aggravated malicious wounding with a firearm in Arlington, Virginia | | # # # | | | | | Same Senseless Tragedy, Different Day: Criminal Illegal Alien Drives Drunk and Kills Woman, Seriously Injuring Another | | 08/26/2025 | | U.S. DEPARTMENT OF HOMELAND SECURITY
Office of Public Affairs
| | Same Senseless Tragedy, Different Day: Criminal Illegal Alien Drives Drunk and Kills Woman, Seriously Injuring Another | | ICE issued an arrest detainer on August 23, 2025, to ensure this criminal is not released back into American communities WASHINGTON—The Department of Homeland Security (DHS) confirms U.S. Immigration and Customs Enforcement (ICE) lodged an immigration detainer for Julio Cesar Herrera Gonzalez,a criminal illegal alien from Honduras, after he drove drunk and caused a devastating crash killing Raquel Lorena Sarabia Barajas and left her husband, Marco Antonio Baez Del Angel, fighting for his life.  Julio Cesar Herrera Gonzalez On August 10, 2025, at 3:25 a.m., Herrera Gonzalez was driving a Maserati SQ4 when he crossed into oncoming traffic, striking a Nissan Rogue. The passenger of the Nissan— Raquel Lorena Sarabia Barajas—died at the scene, while the driver, Marco Antonio Baez Del Angel, was rushed to the hospital and was last reported to be in critical condition.  Raquel Lorena Sarabia Barajas (RIGHT) died at the scene  Marco Antonio Baez Del Angel, remains in critical condition According to the Metropolitan Nashville Police Department, Herrera Gonzalez was “showing signs of impairment,” and has since been charged for vehicular manslaughter, vehicular assault, DUI, and driving without a license. “Herrera Gonzalez drove drunk and killed Raquel Lorena Sarabia Barajas and left her husband Marco Antonio Baez Del Angel fighting for his life. ICE issued an arrest detainer to ensure this criminal illegal alien is not released back into American communities,” said a Senior DHS Official. “It seems to be almost a daily occurrence where an illegal alien driving kills innocent Americans. All of these deaths are preventable because these illegal aliens should have NEVER been in our country. President Trump and Secretary Noem will continue to stand with the victims of illegal alien crime and their families.” Julio Cesar Herrera Gonzales, a criminal illegal alien from Honduras, was granted Temporary Protected Status (TPS) in 2008. His TPS was revoked in 2015. He was previously convicted of vandalism. Below are some of the tragedies this month due to criminal illegal aliens being reckless behind the wheel: August 21: Following Fatal Car Crashes in Maine, ICE Arrests Two Illegal Aliens | Homeland Security August 18: Criminal Illegal Alien Recklessly Driving an 18-Wheeler Kills Three in Florida | Homeland Security August 15: ICE Arrests Illegal Alien Who Killed Two Highschool Sweethearts in Drunk Driving Car Wreck in Sanctuary Jurisdiction of Wisconsin | Homeland Security August 9: Fatal Hit-and-Run in PA: ICE Nabs Illegal Alien from Guatemala Who is Suspected of Killing a 61-year-old Pedestrian | Homeland Security August 8: DHS Releases Video Honoring Illinois Woman Katie Abraham Who Was Killed by an Illegal Alien Charged with DUI in Hit and Run | Homeland Security August 7: Criminal Illegal Alien Charged with Driving While Intoxicated Kills Lawn Mower Operator in Louisiana | Homeland Security DHS law enforcement is protecting American communities every day from another senseless tragedy like this taking place in another town, to another family. Victims of illegal alien crime may receive support from the Victims of Immigration Crime Engagement (VOICE) Office by contacting 1-855-488-6423. | | # # # | | | | | Operation Pacific Viper: U.S. Coast Guard Announces Largest Drug Offload in its History | | 08/26/2025 | | | | | Operation Pacific Viper: U.S. Coast Guard Announces Largest Drug Offload in its History The Coast Guard achieved its largest-ever drug seizure in a single operation in its history MIAMI, FL – Monday, the U.S. Coast Guard Cutter Hamilton offloaded over 76,000 pounds of illegal drugs, valued at $473 million, at Port Everglades, Florida as part of Operation Pacific Viper. This offload included approximately 61,740 pounds of cocaine and approximately 14,400 pounds of marijuana. This is the largest drug offload in Coast Guard history. This is the first major offload of Operation Pacific Viper, a historic partnership between the Coast Guard and the U.S. Navy that is surging forces to the Eastern Pacific to cut off drugs and human smuggling before they ever reach American shores. As part of this operation, the Coast Guard conducted 19 interdictions in international waters of the Eastern Pacific Ocean and Caribbean Sea. They are defending the Homeland with overwhelming force. With a lethal dose of cocaine being as little as 1.2 grams, the amount offloaded by Hamilton's crew is enough to potentially kill 23 million people. "The Coast Guard continues leading U.S. efforts to control, secure, and defend the U.S. border and maritime approaches," said Admiral Kevin Lunday, Acting Commandant of the U.S. Coast Guard. "The cutter HAMILTON's record-breaking offload is the latest demonstration of the success of Operation Pacific Viper, the Coast Guard's aggressive operations to defeat drug smugglers at sea in the Eastern Pacific Ocean near Central and South America. We are incredibly proud of our crews who are safeguarding our nation. HAMILTON's success sends a strong signal to the cartels that we own the sea. We will defeat them and protect our communities from the death and devastation from the scourge of illegal drugs."  | The Arleigh Burke-class guided-missile destroyer USS Sampson (DDG 102), USCGC Stone (WMSL 758), USCGC Venturous (WMEC 625), and USCGC Seneca (WMEC 906), transit in formation while conducting operations in the Pacific Ocean. (U.S. Navy Photo by Naval Aircrewman (Tactical Helicopter) 2nd Class Teague Bullard). "The crew of Hamilton, who have been on the ship for over the last two months, personally interdicted over 47,000 pounds cocaine," said Rear Adm. Adam Chamie, Coast Guard Southeast District Commander. "These men and women put themselves in harm's way time and again to stop the bad guys, apprehend the smugglers and seize the drugs. This is grueling and dangerous work, and I am extremely proud of them." Operation Pacific Viper is part of a wider effort ordered by President Trump to combat foreign drug cartels in Latin America. This operation is still ongoing, and, under the leadership of Homeland Security Secretary Kristi Noem, the men and women of the Coast Guard will continue deploying overwhelming force against the cartels, cutting off the flow of drugs into the United States and put an end to the cartel's reign of terror. The U.S. Coast Guard Cutter Hamilton offloads more than 76,140 lbs of illicit narcotics at Port Everglades, Florida, on August 25, 2025. This is the largest cocaine offload to date in Coast Guard history, with the assistance of partner agencies, during counterdrug operations in the Eastern Pacific Ocean and Caribbean Sea. (Photo by Petty Officer 2nd Class Taylor Bacon, U.S. Coast Guard Headquarters) | | | | | | ICE Detains Criminal Illegal Aliens Convicted of Heinous Crimes Against Americans | | 08/26/2025 | | U.S. DEPARTMENT OF HOMELAND SECURITY
Office of Public Affairs
| | ICE Detains Criminal Illegal Aliens Convicted of Heinous Crimes Against Americans | | WASHINGTON — U.S. Immigration and Customs Enforcement (ICE) today announced the arrests of criminal illegal aliens convicted of violent crimes across the United States. Under President Trump and Secretary Noem, we are fufilling the American people’s mandate to remove the worst of the worst criminal illegal aliens from our country. “On day one, President Trump unleashed ICE law enforcement to go after depraved criminals who are terrorizing American communities,” said a Senior DHS Official. “In just one day, ICE officers across the U.S. nabbed illegal aliens with convictions for sexual assault with a child, sodomy, vehicle theft, and more barbaric crimes. While sanctuary polticians and the media were peddling a FALSE sob story of Kilmar Abrego Garcia, our brave ICE law enforcement was arresting the worst of the worst.” From Texas to New York to California, ICE officers are removing the worst of the worst violent offenders from our streets and sending a clear message: America is no longer a safe haven for criminal illegal aliens. Yesterday’s arrests include:  - Arturo Lopez-Ramirez, a criminal illegal alien from Mexico, convicted of sodomy by force in Alameda County, California.
 - Julio-Cesar Lopez-Rivera, a criminal illegal alien from Mexico convicted of injury to a child in Dallas County, Texas.
 - Edgar Stiven Rivera-Villanueva, a criminal illegal alien from Honduras, convicted of attempted gang assault in Queens, New York.
 - Salvador Hernandez-Aguilar, a criminal illegal alien from Mexico, convicted of two counts of theft of a motor vehicle and resisting arrest in Middlesex County, New Jersey.
 - Darlin Josue Martinez-Espinoza, a criminal illegal alien from Honduras, convicted of aggravated sexual assault with a child, indecency with a child, and driving while intoxicated in Austin, Texas.
ICE continues to prioritize the arrest and removal of the worst of the worst criminal illegal aliens. Each arrest underscores the agency’s unwavering mission to defend the homeland and restore law and order. | | # # # | | | | | Law Enforcement Arrests Suspect Who Made Bomb Threat on ICE Dallas Facility | | 08/26/2025 | | U.S. DEPARTMENT OF HOMELAND SECURITY
Office of Public Affairs | | Law Enforcement Arrests Suspect Who Made Bomb Threat on ICE Dallas Facility | | As ICE officers arrest the worst of the worst criminal illegal aliens, they face a 1,000% increase in assaults against them. WASHINGTON – The U.S. Department of Homeland Security (DHS) today released the following statement on the arrest of an individual who threatened U.S. Immigration and Customs Enforcement (ICE) officers in Dallas, Texas. On Monday, August 25, 2025, the Federal Protective Service (FPS) reported a bomb threat against an ICE facility in Dallas. An unknown male subject, later identified as Bratton Dean Wilkinson, a 36-year-old U.S. citizen, arrived at the reporting entrance of the Dallas Field Office and claimed to have a bomb in his backpack at approximately 6:37 pm local time. The subject showed the security officer what he claimed to be a “detonator” on his wrist. A shelter-in-place was issued for the facility. The officer called 911 and local police responded with a bomb squad. “On Monday evening, law enforcement arrested a suspect who made bomb threats to a Dallas ICE facility. This incident comes just two weeks after a threatening letter with a white powdery substance was sent to an ICE office in New York City. Less than a week ago, a violent rioter was charged with assault in San Francisco after he threatened to stab an ICE officer and harm his family,” said a Senior DHS Official. “These incidents come after months of smears and rhetoric by activists, politicians, and the media comparing ICE law enforcement to the Nazi Gestapo, kidnappers, and the Secret Police. This shameful rhetoric has fueled a culture of hate against law enforcement resulting in a 1,000 percent increase in assaults against them. All sanctuary politicians, activists, and the media need to turn down their temperature.”  Wilkinson was taken into custody by local law enforcement and charged with making terroristic threats. At 7:19 pm local time, police issued an all-clear. The facility houses ICE’s Dallas Field Office as well as Enforcement and Removal Operations.  Every day, America’s brave ICE officers put their lives on the line to defend our homeland and keep Americans safe. Earlier this month, ICE responded to an emergency at 26 Federal Plaza in New York City involving a white powder which was found in ICE offices. Just days ago, DHS also arrested an individual in San Francisco who made repeated threats against law enforcement stating: “I’m going to fuck you up,” “I’m going to go after your family,” and “I’m going to stab you.” Secretary Kristi Noem has been clear: Anyone who lays a hand on law enforcement will be prosecuted to the fullest extent of the law. | | # # # | | | | | Secretary Noem Announces DHS Arrest of 5,000th Illegal Alien in Los Angeles Since Operations Began in the Sanctuary City in June | | 08/26/2025 | | U.S. DEPARTMENT OF HOMELAND SECURITY
Office of Public Affairs | | Secretary Noem Announces DHS Arrest of 5,000th Illegal Alien in Los Angeles Since Operations Began in the Sanctuary City in June | | Border Patrol and ICE law enforcement faced riots and assaults against them as they risked their lives to arrest the worst of the worst in Los Angeles WASHINGTON – U.S. Department of Homeland Security Secretary Kristi Noem today announced U.S. Border Patrol and Immigration and Customs Enforcement (ICE) have made 5,000 arrests in Los Angeles, California since June. While violent rioters and sanctuary politicians threatened law enforcement officers and attempted to obstruct them from enforcing the law, ICE and Border Patrol have continued to deliver on President Donald Trump’s promise to remove the worst of the worst criminal illegal aliens from American communities. “Today, DHS law enforcement made its 5,000th arrest in Los Angeles. That’s 5,000 criminal illegal aliens, gang members, child predators, and murderers taken off our streets. Precious lives saved. Families protected. American taxpayers spared the cost of their crimes AND the burden of their benefits. THANK YOU to our brave law enforcement officers. Make no mistake: if you are here illegally, we will find you, arrest you, and send you back. This is just the beginning,” said Secretary Kristi Noem. Today, DHS’ 5,000th arrest in Los Angeles was Gustavo Garcia-Miranda—a criminal illegal alien from Mexico. Garcia-Miranda is a convicted drug trafficker and aggravated felon. He first illegally entered the U.S. in 2008 and was arrested by Border Patrol for illegal re-entry.   Secretary Noem has been clear: LA rioters would not stop DHS or slow us down. Our law enforcement will continue to enforce the law. And anyone who lays a hand on a law enforcement officer, will be prosecuted to the fullest extent of the law. | | # # # | | | | | WORST OF THE WORST: ICE Arrests Criminal Illegal Aliens Convicted of Child Sex Crimes, Manslaughter, and Burglary | | 08/27/2025 | | U.S. DEPARTMENT OF HOMELAND SECURITY
Office of Public Affairs
| | WORST OF THE WORST: ICE Arrests Criminal Illegal Aliens Convicted of Child Sex Crimes, Manslaughter, and Burglary | | WASHINGTON – Yesterday, U.S. Immigration and Customs Enforcement (ICE) announced the arrest of more violent criminal illegal aliens convicted of child sex crimes, manslaughter, burglary, and fraud. “Our ICE law enforcement officers are risking their lives to arrest the worst of the worst criminal illegal aliens,” said a Senior DHS official. “70 percent of all ICE arrests are of criminal illegal aliens who have been convicted or charged with crimes in the U.S. This statistic doesn’t even include known or suspected terrorists, many foreign gang members, illegal aliens with convictions for violent crimes in other countries, or INTERPOL notices. President Trump and Secretary Noem, unleashed ICE to make America safe again.” Yesterday’s arrests also include:  - Roberto Vaca-Flores, a criminal illegal alien from Mexico, with 59 criminal arrests and 43 convictions including alien smuggling, fraud, burglary, and probation violation.
 - Vijai Dube, a criminal illegal alien from Trinidad, convicted of manslaughter.
 - Gerardo Perez-Rios, a criminal illegal alien from Mexico, convicted of indecency with a child/sexual contact.
 - Diana Carolina German-Martinez, a criminal illegal alien from the Dominican Republic, convicted of assault and manslaughter.
| | # # # | | | | | Trump Administration Proposes New Rule To End Foreign Student Visa Abuse | | 08/27/2025 | | U.S. DEPARTMENT OF HOMELAND SECURITY
Office of Public Affairs | | Trump Administration Proposes New Rule to End Foreign Student Visa Abuse | | New rule will limit the amount of time that foreign students, professors, physicians, and other visa holders are allowed to remain in the United States without additional screening and vetting WASHINGTON, DC – Wednesday, the Trump Administration announced a proposed rule that, if finalized, would limit the length of time certain visa holders – including foreign students– are allowed to stay in the United States, thereby curbing visa abuse and increasing the Department of Homeland Security’s ability to properly vet and oversee these individuals. “For too long, past Administrations have allowed foreign students and other visa holders to remain in the U.S. virtually indefinitely, posing safety risks, costing untold amount of taxpayer dollars, and disadvantaging U.S. citizens,” said a DHS spokesperson. “This new proposed rule would end that abuse once and for all by limiting the amount of time certain visa holders are allowed to remain in the U.S., easing the burden on the federal government to properly oversee foreign students and history.” Since 1978, foreign students (F visa holders) have been admitted into the U.S. for an unspecified period known as “duration of status.” Unlike other visas issued, those with a “duration of status” designation are allowed to remain in the U.S. for an indefinite amount of time without further screening and vetting. In turn, foreign students have taken advantage of U.S. generosity and have become “forever” students, perpetually enrolled in higher education courses to remain in the U.S. Under President Trump’s proposed rule, the federal government would set the authorized admission and extension periods for foreign students and exchange visitors up to the duration of the program they are participating in, not to exceed a 4-year period. The rule would set the initial admission period for foreign media representatives at up to 240 days. Foreign media representatives would be eligible for an extension period of up to 240 days, but no longer than the length of the temporary activity or assignment. Additionally, admitting foreign students, exchange, and foreign media classifications for a fixed period of time would require said aliens to for apply for authorization to extend their stay with United States Citizenship and Immigration Services (USCIS), therefore requiring regular assessments by DHS for the alien to remain in the U.S. for a longer period. This would allow DHS to conduct proper oversight as part of SEVP and SEVIS by making access to necessary information more accessible and reducing the number of individuals here on visas. This proposed rule was first proposed under President Trump in 2020 but was withdrawn by the Biden Administration in 2021 much to the detriment of U.S. citizens and taxpayers. | | # # # | | | | | Despite Riots and Assaults, ICE and Border Patrol Arrest Worst of the Worst Criminal Illegal Aliens Including Rapists, Gang Members, Murderers, and Pedophiles in Los Angeles | | 08/27/2025 | | | | | Despite Riots and Assaults, ICE and Border Patrol Arrest Worst of the Worst Criminal Illegal Aliens Including Rapists, Gang Members, Murderers, and Pedophiles in Los Angeles DHS law enforcement has arrested more than 5,000 illegal aliens since operations began in June in the sanctuary city WASHINGTON – The U.S. Department of Homeland Security (DHS) today released the following update regarding targeted immigration enforcement operations in Los Angeles, California that resulted in the arrests of criminal illegal aliens including rapists, gang members, murderers, and child sex offenders. On August 26, Secretary Kristi Noem announced U.S. Border Patrol and Immigration and Customs Enforcement (ICE) have made more than 5,000 arrests in Los Angeles, California since June. While violent rioters threatened law enforcement officers and attempted to obstruct them from enforcing the law, DHS law enforcement continued to deliver on President Donald Trump's promise to remove the worst of the worst criminal illegal aliens from American communities. "DHS law enforcement has made over 5,000 arrests in Los Angeles. That's more than 5,000 criminal illegal aliens, gang members, child predators, and murderers taken off our streets. Precious lives saved," said Secretary Noem. "Families protected. American taxpayers spared the cost of their crimes AND the burden of their benefits. Thank you to our brave law enforcement officers. Make no mistake: if you are here illegally, we will find you, arrest you, and send you back. This is just the beginning." Below are just a handful of examples of the criminals DHS law enforcement arrested from Los Angeles streets since targeted operations began in June: Diego Fernandez-Martinez, a criminal illegal alien from Mexico and confirmed member of the deadly Surenos gang with convictions for carjacking, vehicle theft, possession of drug paraphernalia, possession of a controlled substance for sales, robbery, and prisoner in possession of a weapon. Juan Carlos Marin-Hipolito, a criminal illegal alien from Mexico convicted of murder and sentenced to 50 years to life in prison. Jaime Sarinana-Rodriguez, a criminal illegal alien from Mexico and registered sex offender convicted of continuous sexual abuse of a child and sentenced to 16 years in prison. Yohannes Zerai, a criminal illegal alien from Eritrea and registered sex offender, convicted of robbery, battery with serious bodily injury, assault to commit rape, sexual penetration with a foreign object with force, assault with a deadly weapon not firearm, petty theft with priors, and failure to register as a sex offender. Justin Chung, a criminal illegal alien from South Korea, who was convicted of murder and shooting at an inhabited dwelling and was sentenced to 75 years prison. Quoc Dung Pham, a criminal illegal alien from Vietnam and registered sex offender, convicted of kidnapping, rape with force, sodomy in concert with force, oral copulation in concert with force, robbery, assault with committing of rape, and possession of a controlled substance and sentenced to 64 years prison. Bo Quoc Pham, a criminal illegal alien from Vietnam and registered sex offender, convicted of rape with force, arm/weapon sex offense, rape in concert with force or violence, oral copulation and sentenced to 118 years prison. Arrested with his brother, Quoc Dung Pham, who has the same criminal convictions. Hong Jing, a criminal illegal alien from China, convicted of driving under the influence of alcohol, aiding, abetting and engaging in sex trafficking of an individual, and racketeering. Martina Zacarias, a criminal illegal alien from Mexico and convicted sex offender, convicted of lewd or lascivious acts with a child under 14 and sentenced to eight years in prison. Edgar Isaac Lopez, a criminal illegal alien from Mexico, convicted of voluntary manslaughter, child cruelty resulting in injury/death, assault by prisoner, unlawful display of fake or fraudulent ID card/permit, and trespassing/injure property. Joel Benjamin Reyes, a criminal illegal alien from El Salvador and registered sex offender, convicted of rape in the first degree by forcible compulsion, incest engaged in sexual conduct with related person and sentenced to five years. Omar Guzman-Rodriguez, a criminal illegal alien from Mexico and registered sex offender, convicted of burglary, possession of check/money order to defraud, personate to record document, making fictitious checks, petty theft with a prior conviction, taking vehicle without owner consent/vehicle theft and tow owner moving a vehicle without authorization, vehicle theft and possession of stolen vehicle, and lewd acts with a child under 14. | | | | | | ICE Arrests Pedophile Criminal Illegal Alien and Gang Member Living in San Diego Child Daycare | | 08/28/2025 | | U.S. DEPARTMENT OF HOMELAND SECURITY
Office of Public Affairs
| | ICE Arrests Pedophile Criminal Illegal Alien and Gang Member Living in San Diego Child Daycare | | Under Secretary Noem, we are not allowing pedophiles to prey on children at daycares or schools WASHINGTON – Yesterday, U.S. Immigration and Customs Enforcement (ICE) arrested Ezequiel Cruz-Rodriguez, a criminal illegal alien from Mexico and convicted child sex offender with an extensive history of criminal behavior and three prior removals from the U.S. This criminal illegal alien, a documented member of the Logan Heights gang, was living with his wife, a Deferred Action for Childhood Arrivals (DACA) recipient who operates an in-home daycare.  His criminal record includes convictions for sex offenses involving a child under 14, sexual battery, illegal possession of a firearm, driving under the influence, and robbery. “It is SICKENING to think this pedophile criminal illegal alien was residing inside the home where a daycare operates and hiding out in a sanctuary city,” said a Senior DHS Official. “Thanks to the brave work of our ICE law enforcement officers, this criminal illegal alien, convicted pedophile, and known Logan Heights gang member—will no longer be able to prey on children inside a daycare. Under President Trump and Secretary Noem, sickos like this will not walk free in the U.S.” Ezequiel Cruz-Rodriguez was first issued a final order of removal by an immigration judge and was removed on Augst 23, 1996. He was removed a second time on October 28, 2003. He was then removed a third time on December 14, 2012. He illegally re-entered the U.S. at unknown date and time. | | # # # | | | | | WORST OF THE WORST: ICE Arrests Multiple Criminal Illegal Aliens with Convictions for Sexual Offenses Against Children, Drug Traffickers, and Other Violent Thugs | | 08/28/2025 | | U.S. DEPARTMENT OF HOMELAND SECURITY
Office of Public Affairs | | WORST OF THE WORST: ICE Arrests Multiple Criminal Illegal Aliens with Convictions for Sexual Offenses Against Children, Drug Traffickers, and Other Violent Thugs | | WASHINGTON — Yesterday, U.S. Immigration and Customs Enforcement (ICE) law enforcement officers arrested more worst of the worst criminal illegal aliens across the United States, including individuals convicted of child sex crimes, drug trafficking, and other violent crimes. “These illegal aliens are the definition of the worst of the worst. From pedophiles to drug traffickers, ICE is arresting public safety threats and getting them out of our communities,” said a Senior DHS Spokesperson. “Under President Trump and Secretary Noem’s leadership, ICE is taking decisive action to ensure these offenders can no longer terrorize our communities. Join ICE today to help us remove the worst of the worst.” Arrests include: - Alexandr Vladimirov Remorenko, a criminal illegal alien from Russia, convicted of rape of a person less than 13 years old, involuntary deviate sexual intercourse with a person less than 16 years of age, aggravated indecent assault of a person less than 13 years of age, sexual assault, contact/communication with a minor for sexual offenses, corruption of minors, incest, and statutory sexual assault in Lancaster County, Pennsylvania.
 - Wilfran Osmanis Cruz-Mejia, a criminal illegal alien from the Dominican Republic, convicted of assault to murder, assault and battery, assault and battery with a deadly weapon, larceny, distributing cocaine, and illegal re-entry in Boston, Massachusetts.
 - Victor Alexander Gonzalez-Gonzalez, a criminal illegal alien from the Dominican Republic, convicted of conspiracy to possess with intent to distribute heroin, cocaine, and fentanyl in Boston, Massachusetts.
 - Newton Njuguna Githiri, a criminal illegal alien from Kenya, convicted of sexual abuse of a minor, a seven-year-old little girl, and burglary in Jefferson County, Alabama.
 - Roman Gonzalez-Flores, a criminal illegal alien from Mexico, convicted of burglary of habitation in Hidalgo County, Texas.
 All individuals are currently in ICE custody and face removal proceedings in accordance with U.S. immigration law. | | # # # | | | | | DHS Law Enforcement Arrests Gang Members, Kidnappers, Drug Traffickers as Part of President Trump's Effort to Crackdown on Violent Crime and Make America Safe Again | | 08/28/2025 | | U.S. DEPARTMENT OF HOMELAND SECURITY
Office of Public Affairs | | DHS Law Enforcement Arrests Gang Members, Kidnappers, Drug Traffickers as Part of President Trump’s Effort to Crackdown on Violent Crime and Make America Safe Again | | WASHINGTON - Today, the Department of Homeland Security (DHS) is highlighting some of the worst of the worst arrested in President Trump’s efforts to crack down on violent crime in Washington D.C. “President Trump was clear: he will make D.C. safe and beautiful again,” said a Senior DHS Official. “ICE and CBP continue to arrest and remove the worst of the worst criminal illegal aliens including gang members, child pedophiles and rapists, drug traffickers, and other violent thugs. We will support the re-establishment of law and order and public safety, so Americans can feel safe enjoying the beauty and history of our nation’s capital.” Below are just some of the criminal illegal aliens taken off D.C. streets: - David Perez-Teofani, a criminal illegal alien from Mexico previously charged with aggravated sexual battery of a child under the age of 13 and felony indecent liberties-proposed sex acts.
- Wilker Patino-Solis, a criminal illegal alien from Venezuela and Tren de Aragua gang member, previously arrested for felony robbery – using force, obstruction of justice, and possession of burglary tools. He has had four prior immigration encounters.
- Jose Candela-Bentura, a criminal illegal alien from Mexico who has been removed from the U.S. 11 times.
- Mario Marquez-Garcia, a criminal illegal alien from El Salvador previously arrested for DUI, aggravated assault on a police officer with a weapon, assault, robbery, failure to appear, and violation of a court order. He has had eight prior immigration encounters.
 - Julio Martinez, a criminal illegal alien from Mexico previously arrested for simple assault, threatening to kidnap or injure a person, and unlawful entry.
- Marcos Alfredo Garrido-Alvarado, a criminal illegal alien from Honduras previously arrested for DUI.
 - Erick Ayala Cruz, a criminal illegal alien from El Salvador previously arrested multiple times for drugs and robbery and has an “officer safety alert” for resistance during a recent arrest.
- Darwin Lopez-Castanon, a criminal illegal alien from Guatemala previously deported two or more times and has a prior criminal arrest for assault.
- Jose Menjivar Gamez, a criminal illegal alien from El Salvador previously arrested for DUI.
- Suraj Tairu, a criminal illegal alien from Nigeria previously convicted of importation, conspiracy and distribution of heroin and six prior immigration encounters.
 - Carlos Enrique Garcia-Ramos, a criminal illegal alien from Guatemala previously arrested for DUI, disorderly conduct and liquor possession.
 - Diego Lopez-Vasquez, a criminal illegal alien from Guatemala previously arrested for DUI, assault and probation violation.
- Carlos Castro-Quinteros, a criminal illegal alien from El Salvador previously arrested for DUI and document fraud.
- Rene Vargas-Salmeron, a criminal illegal alien from Mexico with multiple convictions for assault.
 - Omar Iraeta-Cubillas, a criminal illegal alien from Guatemala with eight previous immigration encounters claiming to be a citizen of three different countries (Mexico, El Salvador, and Guatemala).
- Erick Martinez-Figueroa, a criminal illegal alien from El Salvador previously arrested for DUI.
 - Guerveer Singh, a criminal illegal alien from India previously arrested for being illegally present in the U.S. and deemed a Special Interest Alien.
 - Juan Garcia-Lopez, a criminal illegal alien from Guatemala convicted for illegal entry into the U.S. and previously arrested for assaulting an officer/resisting arrest.
 - Marvin Martinez-Agueta, a criminal illegal alien from El Salvador convicted for illegal entry into the U.S and five previous immigration encounters.
- Jaime Navarette, a criminal illegal alien from El Salvador previously arrested for controlled dangerous substance: other than marijuana, possession with intent to distribute, and controlled dangerous substance-possession with intent-large amount.
| | # # # | | | | | Secretary Noem Calls for Extradition of Criminal Illegal Alien Who Murdered Emma Schafer Following his Capture in Mexico | | 08/29/2025 | | U.S. DEPARTMENT OF HOMELAND SECURITY
Office of Public Affairs
| | Secretary Noem Calls for Extradition of Criminal Illegal Alien Who Murdered Emma Schafer Following His Capture in Mexico | | WASHINGTON – U.S. Department of Homeland Security (DHS) Secretary Kristi Noem announced DHS is working with federal authorities to coordinate the extradition of this criminal illegal alien who killed Emma Shafer—a 24-year-old American girl—this violent predator was captured by authorities in Mexico on August 28, 2025.  “The vicious illegal alien murderer who has been evading justice for two years after stabbing 24-year-old Emma Shafer has been ARRESTED. We will continue to work with federal authorities to coordinate extradition proceedings,” said Secretary Kristi Noem. “THANK YOU to our law enforcement partners for bringing this perpetrator to justice.”  Gabriel P. Calixto—a criminal illegal alien from Mexico—faces charges for first-degree murder and domestic battery for the July 2023 stabbing of 24-year-old Emma Schafer in her apartment in Springfield, Illinois. In May, Secretary Noem traveled to Springfield, Illinois to highlight the devastation sanctuary policies caused in Illinois and across America. She joined Angel families who shared their tragic stories of their loved ones lost because of illegal alien crime. The Secretary also called out Illinois Governor Pritzker for shielding law breakers in his state.  DHS law enforcement is protecting American communities every day from another senseless tragedy like this taking place in another town, to another family. Victims of illegal alien crime may receive support from the Victims of Immigration Crime Engagement (VOICE) Office by contacting 1-855-488-6423. | | # # # | | | | | Worst of the Worst: ICE Arrests Criminal Illegal Aliens Convicted of Heinous Crimes Including Murder and Sodomy | | 08/29/2025 | | U.S. DEPARTMENT OF HOMELAND SECURITY
Office of Public Affairs
| | Worst of the Worst: ICE Arrests Criminal Illegal Aliens Convicted of Heinous Crimes Including Murder and Sodomy | | WASHINGTON — Yesterday, U.S. Immigration and Customs Enforcement (ICE) law enforcement officers arrested more worst of the worst criminal illegal aliens convicted of crimes including homicide, rape, cruelty toward a child, and breaking and entering. “These vicious murderers, pedophiles, rapists, and violent criminals have no place in this country,” said a Senior DHS official. “We’ve said it before, and we’ll keep saying it: If you come to our country illegally and break our laws, we WILL find you, arrest, you, and deport you. The days of letting dangerous criminals terrorize American citizens are over. President Trump and Secretary Noem will continue to do everything in their power to fulfill the American people’s mandate to remove the worst of the worst criminal illegal aliens from our country.” Yesterday’s arrests include:  Marvin Antonio Salmon, a criminal illegal alien from Jamaica, convicted for homicide and assault in Hartford, Connecticut.  Trung Tran, a criminal illegal alien from Vietnam, convicted for first degree rape, cruelty toward a child, rape with a weapon, sodomy, and aggravated assault in Oklahoma County, Oklahoma.  Tomas Pablo-Ramos, a criminal illegal alien from Guatemala, convicted for sexual assault of a child in Dallam County, Texas.  Santos J. Flores, a criminal illegal alien from El Salvador, convicted for criminal sexual acts in Suffolk County, New York.  Kent Orozco-Martinez, a criminal illegal alien from Colombia, convicted for felony breaking and entering in Wake County, North Carolina. All individuals are currently in ICE custody and face removal proceedings in accordance with U.S. immigration law. | | # # # | | | | | After Decades of Failure, the Trump Administration is getting FEMA Back on Track | | 08/29/2025 | | | | | After Decades of Failure, the Trump Administration is getting FEMA Back on Track Under President Trump, FEMA is 100% faster in getting boots-on-the-ground to respond to disasters WASHINGTON – In just 200 days, President Trump and Homeland Security Secretary Kristi Noem have successfully reformed federal disaster response after decades of failure and neglect. For too long, disaster response has been bogged down by red tape, inefficiency, and a one-size-fits-all approach that left too many Americans waiting for help that came too late. Below are just some examples of how the Federal Emergency Management Agency (FEMA) has been realigned with its core mission: FEMA had Been Failing the American People Since Hurricane Katrina. - Friday, August 29, marks 20 years since Hurricane Katrina – a category three storm – made landfall along the Louisiana gulf coast, displacing families to all 50 states and resulting in billions in losses to infrastructure and the economy.
- The hurricane killed over 1,800 Americans and did untold billions in property damage.
- FEMA's response was slow, ineffective, and bureaucratic.
- Over 20 years later, FEMA is STILL processing claims that were made during and immediately following the storm. President Trump is fixing that.
Under the Biden Administration, Disaster Relief was Politicized - In 2024, Hurricane Helene struck North Carolina and other rural communities across the Southeastern United States.
- It was the deadliest hurricane to hit the U.S. since Katrina, but the Biden administration's response was an utter failure.
- In the years leading up to the storm, the Biden administration had been using FEMA like a politicized piggy bank. It looted billions from FEMA and spent it on resettling illegal aliens throughout the U.S.
- Illegal aliens were put up in luxury New York City hotels, like the Roosevelt Hotel, which sheltered Laken Riley's killer.
- Shortly after the storm hit, then-Homeland Security Secretary Alejandro Mayorkas stated that FEMA was running out of funds to help Americans suffering from Helene.
- Disaster relief under the Biden administration was also heavily politicized. Whistleblowers revealed that FEMA disaster relief teams were directed to avoid homes of hurricane victims with Donald Trump campaign signs.
- FEMA employees also freely admitted to the media that they used the Biden administration's DEI priorities as cover to deny relief to rural communities that were more likely to support President Trump.
Under President Trump and Secretary Noem, FEMA is back on mission - FEMA has been radically reformed into a lean, deployable disaster force that empowers states and local communities to provide relief to their citizens.
- Under the Trump administration, FEMA is getting funding to communities for disaster relief twice as fast.
- In other words, FEMA is now 126% faster than it was under the Biden administration.
- FEMA under the Trump administration is also over 40% faster in getting funding directly into the hands of disaster survivors.
- While it used to take 17 days on average to supply that funding, now it takes only 12 days on average, often sooner.
- Finally, the Trump administration has cut the time it takes to get FEMA responders on the ground within hours.
- On average, it took two full days to get FEMA employees to where they need to go. When lives are at stake, every second counts, and this lag time was unacceptable.
- The Trump administration is now getting FEMA personnel on the ground within a single day.
- In other words, FEMA's response time is now 100% faster than under the Biden administration.
- When disastrous flooding struck in Texas on the Fourth of July, DHS launched what Texas Governor Greg Abbott called "the fastest and most coordinated federal-state response" Texas has ever seen.
- Within hours, Texas Task Force 1 – a FEMA-equipped team – was activated by the state and immediately on the ground saving lives.
- That same day, DHS surged search and rescue assets to the area, including the U.S. Coast Guard, Border Patrol Search, Trauma, and Rescue (BORSTAR) and FEMA personnel. Within days, FEMA had over 200 personnel on the ground providing support and shelter.
- President Trump approved a Major Disaster Declaration hours after Governor Greg Abbott's request.
- Combined state and federal rescue efforts in Texas evacuated and rescued over 1,500 people. Coast Guard Rescue Swimmer Petty Officer Scott Ruskan alone saved nearly 200 lives.
- When asked about the DHS and FEMA response, Chief of Texas Division of Emergency Management Nim Kidd said, "I've been doing this for more than 30 years, and I can say with confidence that this was the fastest and most effective federal support Texas has ever received. Thanks to Secretary Noem's leadership, Texas Task Force 1 was fully equipped and trained to respond immediately under my direction on July 4, and every additional Urban Search and Rescue team we requested was deployed without delay. That kind of partnership - moving the right resources at the right time - saved lives and made all the difference in our response."
- Secretary Noem also rushed support to North Carolina and other states impacted by Hurricane Helene. Since January 20, 2025, the Trump administration has obligated nearly $3 billion to victims of and communities recovering from that terrible disaster.
- This includes $350 million in Public Assistance reimbursements approved to support the recovery efforts in North Carolina.
- In addition, the Trump administration obligated about $2.6 billion for the U.S. Army Corps of Engineers (USACE) to clear debris following Hurricane Helene.
- President Trump also signed an Executive Order dramatically speeding up debris removal for North Carolina and elsewhere. This order promoted to USACE and FEMA to rush more resources to the ground, resulting in significant debris cleanup progress and positive response from state and local officials.
- DHS also accelerated debris removal efforts in California. Most properties have now been cleared of debris. Nearly 92% of debris removal is fully complete, while 98% of properties have been cleared.
- Rapid, upfront funding was provided in New Mexico following recent flooding — a shift away from slow models that left families waiting for years in the past.
- Overall, Secretary Noem has personally ensured that more than $1.7 billion in Individual Assistance and $14.1 billion in Public Assistance has been approved for disaster recovery nationwide, supporting rent, home repairs, and critical infrastructure rebuilding.
- At Secretary Noem's direction, FEMA has conducted a critical evaluation of all grant programs and recipients to root out waste, fraud, and abuse and deliver accountability for the American taxpayer.
The work continues - FEMA reform is still active and ongoing. Thanks to President Trump and Secretary Noem's leadership, the FEMA Review Council is hard at work to address more than 5 decades of FEMA's failures and deliver results to the American people.
| | | | | | DHS Debunks False Claims About Federal Emergency Management | | 08/29/2025 | | | | | DHS Debunks False Claims About Federal Emergency Management The media is laundering conspiracy theories launched by a political activist organization that cares more about its bottom line than helping Americans in need WASHINGTON – Homeland Security Secretary Kristi Noem has issued the following statement in response to anonymous attacks in a letter from political activists at the Federal Emergency Management Agency (FEMA) against the Trump Administration's successful work to get federal disaster response back on mission after decades of failure. "I am not surprised that some of the same bureaucrats who presided over decades of inefficiency are now objecting to reform; including many who worked under the Biden Administration to turn FEMA into the bureaucratic nightmare it is today," said Secretary Noem. "Change is hard. It is especially hard for those invested in the status quo, who have forgotten that their duty is to the American people — not entrenched bureaucracy. I refuse to accept that FEMA red tape should stand between an American citizen suffering and the aid they desperately need. That's why I am working so hard to eliminate FEMA as it exists today and streamline this bloated organization into a tool that actually benefits Americans in crisis." Below is a full breakdown of the false claims and lies made by the activists and repeated by the media: CLAIM: DHS' response to catastrophic flooding in Texas on the Fourth of July weekend was delayed by up to 72 hours.
REALITY: DHS personnel were on the ground within hours of the floods. U.S. Coast Guard, Border Patrol Search, Trauma, and Rescue (BORSTAR), and FEMA personnel responded within 24 hours of the start of the floods. Throughout the crisis, FEMA deployed nearly 600 personnel supporting disaster response and recovery efforts. Here is a full timeline of the DHS response to flooding in Texas: - Within hours of the floods hitting, Texas Task Force 1 – a FEMA-equipped team – was activated by the state and immediately on the ground saving lives.
- That same day, DHS surged search and rescue assets to the area, including the U.S. Coast Guard, Border Patrol Search, Trauma, and Rescue (BORSTAR) and FEMA personnel.
- President Trump then approved a Major Disaster Declaration hours after Governor Greg Abbott's request.
- Within hours of that declaration, FEMA rushed assistance.
- The first FEMA personnel were on the ground within 5 hours of activation.
- By noon on July 6, a FEMA rapid response team was on the ground, coordinating rescue efforts between the state and federal government.
- Throughout the crisis, five federal Urban Search and Rescue task forces were conducting operations on the ground immediately after Texas requested their assistance.
- These search and rescue task forces included firefighters, paramedics, engineers, search dogs, special vehicles and equipment, and other assets.
- Combined state and federal rescue efforts in Texas evacuated and rescued over 1,500 people. Coast Guard Rescue Swimmer Petty Officer Scott Ruskan alone saved nearly 200 lives.
- Texas Governor Greg Abbott called the DHS response "the fastest and most coordinated federal-state response" Texas has ever seen.
- Chief of the Texas Division of Emergency Management Nim Kidd said "I've been doing this for more than 30 years, and I can say with confidence that this was the fastest and most effective federal support Texas has ever received. Thanks to Secretary Noem's leadership, Texas Task Force 1 was fully equipped and trained to respond immediately under my direction on July 4, and every additional Urban Search and Rescue team we requested was deployed without delay. That kind of partnership - moving the right resources at the right time - saved lives and made all the difference in our response."
CLAIM: Secretary Noem personally reviewing agency grants has slowed down response times. REALITY: Since President Trump took office on January 20, 2025, FEMA is 126% faster on average in getting federal grant funding to states and communities that request it. It is also over 40% faster on average in getting vital assistance directly into the hands of survivors, and 100% faster in getting responders on the ground to help affected communities. In addition, by personally reviewing every grant and mission assignment over $100,000, Secretary Noem is returning accountability to the federal government that has long needed it.
CLAIM: FEMA is unable to respond to disasters because some employees are being transferred to Immigration and Customs Enforcement (ICE). REALITY: A select few Human Resources employees and personal security specialists from FEMA have been temporarily detailed to ICE for 90 days to assist with hiring and vetting 10,000 new ICE officers. This training opportunity will better enable FEMA personnel to support surge hiring at FEMA during a major disaster. No first responders or operational disaster personnel are involved. This temporary detail has not and will not disrupt FEMA's core mission, and it can be recalled if the operational necessity arises. In addition, four probationary employees on administrative leave were reassigned to other DHS components, including ICE.
CLAIM: FEMA is cutting life-saving mitigation and risk reduction programs. REALITY: No funding that helps mitigate against natural disasters or helps Americans rebuild from disasters has been cut. DHS is conducting a comprehensive review of ALL its grant programs to ensure that they are actually fulfilling their stated mission goal, instead of funding pet political projects and left-wing nonprofits.
CLAIM: DHS has cut programs that support State, Local, Tribal, and Territorial (SLTT) partners. REALITY: Secretary Noem is empowering state and local leaders to lead disaster relief efforts without interference and red tape from the federal government. Local officials on the ground, not bureaucrats in Washington, know what their communities need. In addition, DHS has not cut ANY programs that support SLTT partners. The letter's signatories point to several programs and claim that modifying them has put lives at risk. They are wrong: - The signatories point to the Community Emergency Response Team (CERT), but this program is administered at the local level, not by FEMA. It continues to function unabated without FEMA support.
- The National Fire Academy, meanwhile, was temporarily closed for about 3 months to assess its training to make sure it supports responsible use of taxpayer dollars. It re-opened in early June and remains open.
- The Youth Preparedness Council (YPC), meanwhile, did not have participants actually working in emergency management positions. The program was also not a statutory requirement. DHS encourages anyone interested in YPC programs to continue exploring how they can prepare their communities for disasters, and this is a great opportunity for SLTT jurisdictions to engage youth on their own terms.
CLAIM: DHS is censoring climate "science." REALITY: The previous administration heavily politicized FEMA, using taxpayer dollars to fund green initiatives and frivolous projects. FEMA is a disaster response agency, and Secretary Noem is ensuring it is focusing on its actual mission, not burning taxpayer dollars on a pyre of unfounded climate alarmism. CLAIM: Reductions in the FEMA workforce are impacting its ability to respond to disasters. REALITY: Secretary Noem is implementing President Trump's mandate to cut waste, fraud and abuse in the federal government, of which there was more than plenty at FEMA. By cutting redundant contracts, eliminating unnecessary positions, and giving employees the opportunity to quit if they wish, DHS has reduced bureaucratic bloat. Since implementing these reforms, FEMA has become MORE responsive, getting personnel on the ground and approving grants nearly twice as quickly as previous administrations did. | | | | | | Secretary Noem Terminates Inept FEMA Employees After Uncovering Massive Cyber Failures, Demands Accountability | | 08/29/2025 | | | | | Secretary Noem Terminates Inept FEMA Employees After Uncovering Massive Cyber Failures, Demands Accountability FEMA's Information Technology (IT) team failed to implement proper security procedures and put the American people at risk WASHINGTON – Today, Homeland Security Secretary Kristi Noem announced that she is firing two dozen members of the Federal Emergency Management Agency's (FEMA) IT department after it was discovered that they brazenly neglected basic security protocols. Fortunately, this problem was caught before any American citizens were directly impacted. Despite this failure and neglect, no sensitive data was extracted from any DHS networks. FEMA Chief Information Officer (CIO) Charles Armstrong, Chief Information Security Officer (CISO) Gregory Edwards, and 22 other FEMA IT employees directly responsible were immediately terminated. "FEMA's career IT leadership failed on every level. Their incompetence put the American people at risk," said Secretary Noem. "When DHS stepped in to fix the problem, entrenched bureaucrats worked to prevent us from solving the problem and downplayed just how bad this breach was. These deep-state individuals were more interested in covering up their failures than in protecting the Homeland and American citizens' personal data, so I terminated them immediately. The American people deserve results from their government" This vulnerability was only discovered because Secretary Noem ordered a review of all of FEMA's operations and IT systems. While conducting a routine cybersecurity review, the DHS Office of the Chief Information Officer (OCIO) discovered significant security vulnerabilities that gave a threat actor access to FEMA's network. The investigation uncovered several severe lapses in security that allowed the threat actor to breach FEMA's network and threaten the entire Department and the nation as a whole. The entrenched bureaucrats who led FEMA's IT team for decades resisted any efforts to fix the problem. Instead, they avoided scheduled inspections and lied to officials about the scope and scale of the cyber vulnerabilities. Failures included: an agency-wide lack of multi-factor authentication, use of prohibited legacy protocols, failing to fix known and critical vulnerabilities, and inadequate operational visibility. FEMA spent nearly half a billion dollars on IT and cybersecurity measures in Fiscal Year 2025 alone and delivered virtually nothing for the American people. Despite burning hundreds of millions of taxpayer dollars, FEMA's IT leadership still neglected its basic duties and exposed the entire Department to cyberattacks. "This unacceptable behavior will not be tolerated in the Trump administration," added Secretary Noem. | | | | | | DHS Responds to Arrest of Radical Activist That Attempted to Run Down CBP Agent | | 08/29/2025 | | U.S. DEPARTMENT OF HOMELAND SECURITY
Office of Public Affairs
| | DHS Responds to Arrest of U.S. Citizen That Attempted to Run Down CBP Agent | | Our law enforcement officers are facing a 1000% increase in assaults against them as they carry out operations WASHINGTON — The Department of Homeland Security (DHS) confirms the arrest of 24-year-old Olivia G. Wilkins, a U.S. citizen, after she attempted to run over a Border Patrol Agent who was arresting illegal aliens. On August 25, 2025, United States Border Patrol (USBP) were assisting the Maine State Police (MSP) and the Knox County Sheriff’s Office (KCSO) regarding a commercial vehicle rollover accident, involving two illegal aliens in the U.S.   Jhoan Andres Ortiz-Calderon has a final order of removal from an immigration judge.  Victor Hugo Cardona-Calderon has a visa overstay and does not have a work permit. While escorting the two illegal aliens to the USBP marked government-owned vehicle, Wilkins, a bystander, began verbally harassing the officers. She then used her vehicle to drive at the group of law enforcement, squealing the tires and swerving, nearly hitting them.  Olivia G. Wilkins KCSO deputies pursued Wilkins, who subsequently crashed along the side of the road, and placed her under arrest. She was charged with aggravated reckless conduct, criminal threatening with a dangerous weapon, driving to endanger, hindering apprehension, obstructing government administration, and failure to stop for an officer. “On Monday afternoon, a woman deliberately attempted to run over a Border Patrol Agent. This incident comes just two weeks after a threatening letter with a white powdery substance was sent to an ICE office in New York City. Less than a week ago, a violent rioter was charged with assault in San Francisco after he threatened to stab an ICE officer and harm his family. Earlier in the week, there was a bomb threat at a Dallas ICE facility,” said a DHS Spokesperson. “These incidents come after months of smears and rhetoric by activists, politicians, and the media comparing ICE law enforcement to the Nazi Gestapo, kidnappers, and the Secret Police. This shameful rhetoric has fueled a culture of hate against law enforcement resulting in a 1,000 percent increase in assaults against them. All sanctuary politicians, activists, and the media need to turn down their temperature.” The following are some additional attacks towards ICE and federal law enforcement, perpetuated by toxic media rhetoric that demonizes our brave law enforcement who risk their lives every day to remove the worst of the worst criminal illegal aliens: - August 26, 2025: Law Enforcement Arrests Suspect Who Made Bomb Threat on ICE Dallas Facility | Homeland Security
- August 22, 2025: DHS Condemns Rioters’ Violent Assault on ICE Law Enforcement in San Francisco | Homeland Security
- July 16, 2025: DHS Statement on Capture of Violent Extremist Involved in Prairieland Attack on ICE Agents | Homeland Security
- July 11, 2025: Anarchists and Rioters in Portland Illegally Dox ICE Officers and Federal Law Enforcement | Homeland Security
- July 8, 2025: Three Law Enforcement Personnel Injured After Horrific Shooting in McAllen Texas | Homeland Security
- June 10, 2025: DHS Sets the Record Straight on LA Riots, Condemns Violence Against Law Enforcement, Destruction of Property and Threats to ICE Agents | Homeland Security
- June 7, 2025: DHS Releases Statement on Violent Rioters Assaulting ICE Officers in Los Angeles, CA and Calls on Democrat Politicians to Tone Down Dangerous Rhetoric About ICE | Homeland Security
| | # # # | | | | | |
No comments:
Post a Comment